当上下压辊有偏心距,而上压辊杠杆呈水平时力的分析
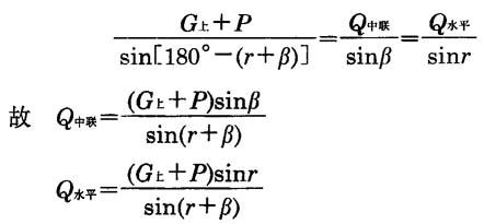
从图11-4-113(1)中△AOB可知:  式中β为上压辊中垂线与上压辊中心和杠杆支点联线之间的夹角。 通过上下压辊接点,对压榨线压起决定作用的Q中联与上压辊辊重G上和附加力P之和的关系,有三种可能性存在。  纸机压榨部最常遇到的情况是 ,可能的数值为:  更深入一步研究,实际上Q中联是β、r两个变更量函数,即Q中联=f(β、r)。当β+r>90°时,Q中联随r的增加而加大,当β+r<90°时,Q中联随r的增加反而减小,所以增减压辊间的偏距是否能提高压榨线压,主要取决于纸机压榨机构的具体尺寸,对具体情况应当做具体分析。 |