网站首页  词典首页

请输入您要查询的字词:

 

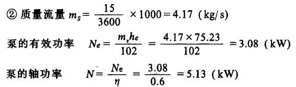
字词 往密闭容器输送流体的计算实例
类别 中英文字词句释义及详细解析
释义 往密闭容器输送流体的计算实例

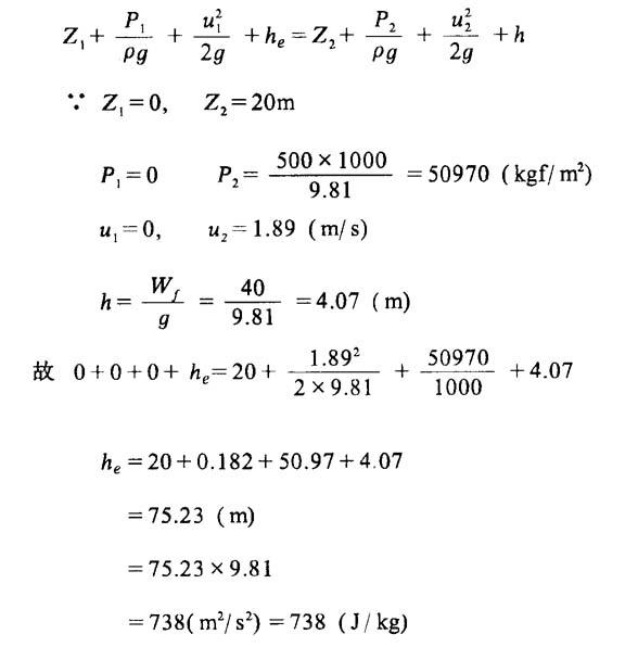
[例]如图2-5-44所示,用泵将水从水池送到高处的密闭容器中,每小时输水量为15m3,输水管的内径为53mm,其出口位于水池水面以上20m,送入压力为500kPa(表压)的容器内。水在管路内的流动阻力为40J/kg。
❶ 试计算所需泵的输送功率;
❷ 已知,泵的效率为0.6,求泵实际输出的功率。

解:
❶ 设水池水面为I-I,输水管出口为Ⅱ-Ⅱ,以I-I面为基准面,则根据柏努利方程式得:

即泵送每千克水的有效功为738J。

随便看

 

文网收录3541549条中英文词条,其功能与新华字典、现代汉语词典、牛津高阶英汉词典等各类中英文词典类似,基本涵盖了全部常用中英文字词句的读音、释义及用法,是语言学习和写作的有利工具。

 

Copyright © 2004-2024 Ctoth.com All Rights Reserved
京ICP备2021023879号 更新时间:2025/10/17 20:49:26