微分方程
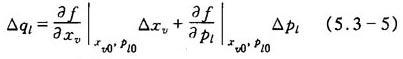
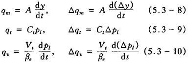
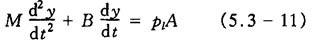
(1)线性化 自动控制元件与系统的运动方程常常是非线性的,而用非线性微分方程研究系统的运动规律是很困难的,故尽量对所研究的系统进行线性化处理,然后用线性理论进行分析。对于非线性函数的线性化方法有两种:一种方法是忽略那些比较次要的非线性因素,如小的死区、磁滞和干摩擦等;另一种是小偏差线性化法。 小偏差线性化法是将一个非线性函数y=f(x),在其工作点(x0,y0)展开成台劳级数,然后忽略二次以上的高阶项,就可得到代替原来非线性函数的线性化增量方程。 (A)对具有一个自变量的非线性函数f(x)的小偏差线性化增量方程为 [解] 根据流体力学的节流公式可推得  式中 ql——工作流量(或称负载流量); Cd——流量系数; w——滑阀的面积梯度; xv——阀芯位移; ρ——油液密度; ps——工作压力; pi——负载压力。 由上式可知,因Cd、w、ρ、ps为常数,故ql是一个取决于xv和pi的双变量非线性函数,因此,它又可写成 ql=f(xv,pl)(5.3-4) 根据式(5.3-2)可得工作流量qi的线性化增量方程  式(5.3-5)可写为  式中  如果以qm表示使活塞移动的流量,以qi表示泄漏流量,以qv表示体积压缩流量,根据液流连续性原理则有 ql=qm+qt+qv 并有 △qi=△qm+△qt+△qv(5.3-7) 而qm、qi、qv及其相应的增量分别为  式中 A——油缸工作面积; Ct——油缸总泄漏系数; Vt——滑阀出口至液压缸活塞两腔的总容积; βe——油的弹性模量。 液压缸的力平衡方程为  式中 M——活塞及负载的质量; B——粘性阻尼系数。 将式(5.3-7)~式(5.3-11)联立,消去中间变量,得活塞位移y对滑阀位移xv的线性化微分方程  当活塞及负载质量M小得可以忽略不计时,则上式可简化成  |