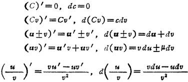
微分法则
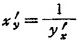
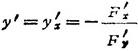
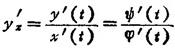
7.2.1 四则运算的微分 若c为常数,函数u(x),v(x)都有导数,则  7.2.2 复合函数的导数 若y=f(u),u=φ(x)都有导数,则  7.2.3 反函数的导数 若函数y=f(x)在点x处有不为零的导数,且反函数x=f-1(y)在此点连续,则 存在且  7.2.4 隐函数微分法则 设函数F(x,y)连续,且对每个自变量都有连续的偏导数,而 (x,y) 0 则由F(x、y)=0所决定的函数y=y(x)的导数  式中  7.2.5 用参数表示的函数的微分法则 设φ(t)、ψ(t)为可微函数,且 ≠0,则由参数方程  所决定的x的单值连续函数y=Ψ〔φ-1(x)〕的导数:  |