网站首页  词典首页

请输入您要查询的字词:

 

字词 德帕烟酯
类别 中英文字词句释义及详细解析
释义 德帕烟酯

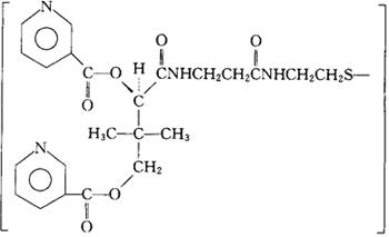
C46H54N8O12S2=975.10

CAS-99518-29-3

N,N′-[二硫基双(乙烯亚氨基羰基乙烯)]双[(R)-2,4-二羟-3,3-二甲基丁酰胺]烟酸四酯。

Nicotinic acid,tetraester with N,N′-[dithiobis(ethyleneiminocarbonylethylene)]bis[(R)-2,4-di hydroxy-3,3-dimethylbutyramide].

降血脂药。

Derbanicate.

INN,USAN.

随便看

 

文网收录3541549条中英文词条,其功能与新华字典、现代汉语词典、牛津高阶英汉词典等各类中英文词典类似,基本涵盖了全部常用中英文字词句的读音、释义及用法,是语言学习和写作的有利工具。

 

Copyright © 2004-2024 Ctoth.com All Rights Reserved
京ICP备2021023879号 更新时间:2025/10/17 15:33:29