总再生产率
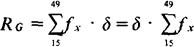
平均一个母亲一生生育的女婴数,而不问女婴是否都生存到接替母亲生育职能的年龄参加下一代的生育活动。 总再生产率与总和生育率密切相关,总和生育率是说明一个妇女一生可能生育的婴儿数(包括女婴和男婴),而总再生产率是只计算一个妇女一生所生育的女婴数。所以,将总和生育率乘以出生婴儿中的女婴比例,就得到了总再生产率。其公式为:总再生产率=总和生育率×出生婴儿中的女婴比重。 如果用δ用表示出生婴儿中的女婴比重,总再生产率(RG)的计算公式也可写成:  这个指标可用于研究女性人口更替规模,即,女儿一代与母亲一代相比较,女性人口更替规模是扩大了还是缩小了。 |