网站首页  词典首页

请输入您要查询的字词:

 

字词 恩前列素[中]
类别 中英文字词句释义及详细解析
释义 恩前列素[中]

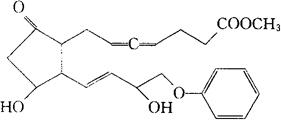
C23H28O6=400.47

CAS-73121-56-9

7-[3-羟基-2-(3-羟基-4-苯氧基-1-丁烯基)-5-氧代环戊基]-4,5-庚二烯酸甲酯。

7-[3-Hydroxy-2-(3-hydroxy-4-phenoxy-1-butenyl)-5-oxocyclopentyl]-4,5-heptadienoic acid methyl ester.

抗溃疡药。

苯氧前列素。

Enprostil,Gardrin,RS-84135.

INN,BAN,USAN.

随便看

 

文网收录3541549条中英文词条,其功能与新华字典、现代汉语词典、牛津高阶英汉词典等各类中英文词典类似,基本涵盖了全部常用中英文字词句的读音、释义及用法,是语言学习和写作的有利工具。

 

Copyright © 2004-2024 Ctoth.com All Rights Reserved
京ICP备2021023879号 更新时间:2026/5/23 21:51:19