成形网宽的计算
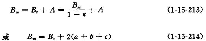
【说明】 造纸机的成形网宽,简称网宽,又称机宽。 【公式】  式中 Bw——网宽(mm) Bs——湿纸幅宽(mm) A——湿纸边及铜网的错动系数,开式引纸时A=150mm;真空引纸时A=250~300mm Bm——纸的抄宽(m) ε——纸的总横向收缩率,见表1-15-21 a——每侧冲边宽度(mm),在用定幅装置时,a=25~30mm在无定幅装置时,a=30~50mm b——每侧的定幅装置在网上所占的宽度(mm),其值视定幅装置的具体结构而定 c——在定幅装置以外,成形网每侧的富裕宽度(mm),通常对长网或夹网成形器可取c=20~25mm;对普通圆网成形器,一般情况下,因网边已被定幅带所全包,故c的值可取为零 【例】 已知某1760长网造纸机,生产凸版纸,网案长度为8260mm,开式引纸,网的包角系数取2.22,纸的总横缩率为4%,求网的长度及宽度。 解:Lw=Clw=2.22×8260=18350(mm)=18.35(m) Bw= +A= +150=2025(mm)=2.025(m) 表1-15-21 各种纸在造纸机上的横向总收缩率  |