网站首页  词典首页

请输入您要查询的字词:

 

字词 打浆机的无效功率
类别 中英文字词句释义及详细解析
释义 打浆机的无效功率

【说明】 打浆机的无效功率可分下列四部分计算。

1.浆料循环所消耗的功率

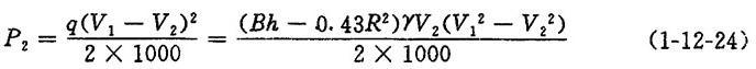
【公式】

式中 P2——浆料循环所耗功率(kW)

q——单位时间内纸料循环量(kg/s)

V1——飞刀辊线速度(m/s)

V2——纸料循环速度(m/s)

B——回流沟的宽度(m)

h——回流沟纸料深度(m)

R——回流沟内圆角半径(m)

γ——纸料的容重(kg/m3),一般取1000

2.飞刀与纸料摩擦所消耗的功率

【公式】

式中 P3——飞刀与纸料摩擦所消耗功率(kW)

R1——飞刀与纸料的摩擦力(N)

R1=KF1V0mg (1-12-26)

V0——速度差(m/s)

V0=V1-V2 (1-12-27)

F1——浸在纸料中的飞刀片未与底刀接触的面积(m2)

F1=Z1δ1L (1-12-28)

β——纸料浸没打浆辊的角度(度),一般为20~200°

Z1、δ1、L——分别表示纸料浸没飞刀的把数、飞刀片厚度(m)和飞刀的长度(m)

K、m——系数及指数,与飞刀材料和表面粗糙度有关,可按表1-12-6选取

表1-12-6 与飞刀材料和表面粗糙度有关的K、m值

3.克服空气对飞刀辊的阻力所消耗的功率

【公式】

式中 P4——消耗的功率(kW)

V1——飞刀辊线速度(m/s)

K1、m1——常数,K1=0.07~0.08,m1=3

γB——空气的重度(N/m3),取12.65N/m3(1.29kg/m3)

F2——与空气接触的飞刀侧面积(m2)

b——打浆辊刀槽深度,一般取0.04~0.05(m)

Z2——与空气接触的飞刀的把数

L——飞刀片的长度(m)

4.克服转轴与轴承摩擦所消耗的功率

【公式】

式中 P5——所耗功率(kW)

μ1——轴承摩擦系数,滑动轴承一般为0.05~0.1;滚动轴承为0.005~0.01

G——由飞刀辊重量及皮带张力对轴承产生的压力(N)

G=G1+G2 (1-12-31)

G1——飞刀辊加在轴承上的有效重量(N)

G2——皮带的张力(N)

P——打浆机传动所消耗的总功率(kW)

V3——飞刀辊轴颈的线速度(m/s)

随便看

 

文网收录3541549条中英文词条,其功能与新华字典、现代汉语词典、牛津高阶英汉词典等各类中英文词典类似,基本涵盖了全部常用中英文字词句的读音、释义及用法,是语言学习和写作的有利工具。

 

Copyright © 2004-2024 Ctoth.com All Rights Reserved
京ICP备2021023879号 更新时间:2026/4/16 16:02:12