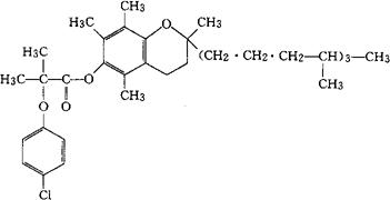
托考贝特
C39H59ClO4=627.35 CAS-50465-39-9 3,4-二氢-2,5,7,8-四甲基-2-(4,8,12-三甲基十三烷基)-2H-1-苯并吡喃-6-基2-(4-氯苯氧)-2-甲基丙酸酯。 3,4-Dihydro-2,5,7,8-tetramethyl-2-(4,8,12-trime thyltridecyl)-2H-1-benzopyran-6-yl 2-(4-chlorophenoxy)-2-methylpropanoate. 2,5,7,8-四甲基-2-(4,8,12-三甲基十三烷基)-6-苯并二氢吡喃基-2-(对-氯苯氧)-2-甲基丙酸酯。 2,5,7,8-Tetramethyl-2-(4,8,12-trimethyltridecyl)-6-chromanyl-2-(p-chlorophenoxy)-2-methylpropionate. 降血脂药。 Tocofibrate,Cloferol. INN,USAN.  |