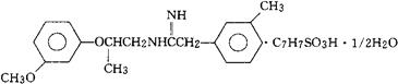
托西米定
C19H24N2O2·C7H7SO3H·1/2H2O=492.60 CAS-6443-40-9 CAS-6443-50-1(xylamidine) N-[2-(3-甲氧基苯氧)丙基]-3-甲基苯乙烷亚胺酰胺,单(4-甲苯磺酸盐),半分子水化合物。 Benzenee thanimidamide,N-[2-(3-methoxyphenoxy)propyl]-3-methyl-,mono(4-methylbenzenesulfonate),hemihydrate. N-[2-(间-甲氧基苯氧)丙基]-2-间-甲苯乙脒单-对-甲苯磺酸盐,半分子水化合物。 N-[2-(m-Methoxyphenoxy)propyl]-2-m-tolylacetamidine mono-p-toluenesulfonate hemihydrate. 抗胆碱药,5-羟色胺拮抗药。用于治疗十二指肠及胃溃疡。 托西酸赛拉米定。 Xylamidine Tosylate,Xytamidine Tosilate,BW 64,545,BW 545-C-64. INN(Xylamidine Tosilate),BAN(Xylamide Tosylate),USAN.  |