网站首页  词典首页

请输入您要查询的字词:

 

字词 扬送轮
类别 中英文字词句释义及详细解析
释义 扬送轮

1.型式

有分水式及带水式两种。前者在甜菜进入扬送轮戽斗的同时将流送水分出。后者则一同被扬升至扬送轮上部而分离,它适用于分出的水需另设法再提升的场合。两者不同处在于分水式的外圈具有足够自由截面的孔,以利水流出。

安装扬送轮时必须使轮内圈低于流送沟底(见图2-9)。扬送轮戽斗的长、宽及高不应小于350毫米,以利甜菜进出。

1-戽斗 2-转轮 3-甜菜溜槽 4-流送沟

扬送轮运行较可靠,机械效率比甜菜泵高;但设备笨重,扬程不能太高(一般为5~6米),传动装置较复杂,操作条件也较差。

扬送轮在开及停机时轮内应是空的,并避免木板、铁条等进入。

2.生产能力计算

A=86.4×S×b×v×γ×φ1×φ2

式中 A——处理甜菜量(吨/日)

S——轮圈厚度(沿直径方向测得,米)

b——轮圈宽度(米)

v——轮圈周速(米/秒),取1米/秒

当已知扬送轮外径(D)及每分钟转数(n)

即可求得

γ——甜菜在混合物中的容重(公斤/米3)

扬送甜菜不带水时:

γ=500~600

扬送甜菜带水时:有水力冲卸

无水力冲卸γ=150

φ1——装填系数,对分水式扬送轮取0.7,带水式扬送轮为0.8~0.9

φ2——轮圈有效空间利用系数,可按下式求得

,h为一个戽斗在外缘上的长度

3.需用功率计算

分水式扬送轮需用功率按下式求出

式中 G——扬送的甜菜量(吨/小时)

H——扬送高度(米)H=0.8(D-2S)

D——扬送轮的外缘直径(米)

η——扬送轮的机械效率,取0.3~0.4

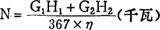
带水式扬送轮需用功率按下式求出

式中 G1G2——扬送的甜菜和水量(吨/小时)

H1——甜菜扬送高度(米)

H1=0.8(D-2S)

H2——水扬送高度(米)

H2=0.65(D-2S)

η——扬送轮的机械效率0.5~0.6

设备系列化后分水式扬送轮定为三种,以轮外径(毫米)计为:5000,6000及8000。

随便看

 

文网收录3541549条中英文词条,其功能与新华字典、现代汉语词典、牛津高阶英汉词典等各类中英文词典类似,基本涵盖了全部常用中英文字词句的读音、释义及用法,是语言学习和写作的有利工具。

 

Copyright © 2004-2024 Ctoth.com All Rights Reserved
京ICP备2021023879号 更新时间:2025/10/17 13:21:54