网站首页  词典首页

请输入您要查询的字词:

 

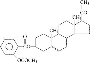
字词 抗炎松[中]
类别 中英文字词句释义及详细解析
释义 抗炎松[中]

C30H38O5=478.63

3-羟基孕甾-5-烯-20-酮,乙酰水杨酸酯。

3-Hydroxypregn-5-en-20-one acetylsalicylate.

激素类药。用于风湿性关节炎、风湿热、风湿性心脏病、过敏性皮炎及接触性皮炎等。

乙酰水杨酸妊娠烯醇酮,妊娠烯醇酮酯柳酸酯,醋柳酸妊娠烯醇酮。

Antiflamison,Pregnenolone Acetylsalicylate.

抗炎松片,抗炎松软膏(抗炎松油膏),抗炎松滴眼液。

随便看

 

文网收录3541549条中英文词条,其功能与新华字典、现代汉语词典、牛津高阶英汉词典等各类中英文词典类似,基本涵盖了全部常用中英文字词句的读音、释义及用法,是语言学习和写作的有利工具。

 

Copyright © 2004-2024 Ctoth.com All Rights Reserved
京ICP备2021023879号 更新时间:2026/4/17 23:40:01