抛物线预测方法
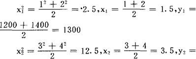
趋势外推法的一种。 现象的发展是按每期增长量的增长大体相同的增减变化,即各期的二级增长量大体相同,基本趋势呈现抛物线型规律,按这种规律预测事物的未来的方法就是抛物线预测方法。 抛物线的一般方程为: y=ax2+bx+c 这种现象发展的特点是,每期都有增长变化,但是,这种变化既不是按相同的增长量,也不是按相同的增长速度,而是表现在增长量的变化上,即每期的增长量按相同的增长量增长,这称为二级增长量相等。我们只要稍加分析就可看到函数y=ax2+bx+c的二级增长量是相等的,按顺序把各年的产量、增长量、二级增长量列入下表:  上表中a、b、c都是待定参数,各年的二级增长量都等于2a。 例如某轻工局连续6年机制纸的产量如下表,试配合适当的曲线,并推算第7年的可能产量。  由上表可看出,各年的二级增长量大致相同,所以产量的发展趋势是抛物线y=ax2+bx+c型。 现在资料分为3组,分别用平均法求x2、x和y的平均值。   解得:a=11,b=165.5,c=1024.25 所求方程为:y=11x2+165.5x+1024.25 第7年的可能产量为: y=11×72+165.5×7+1024.25=2721.75(吨) |