网站首页  词典首页

请输入您要查询的字词:

 

字词 拉克替醇[中]
类别 中英文字词句释义及详细解析
释义 拉克替醇[中]

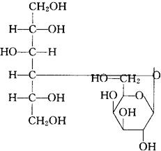
C12H24O11=344.32

CAS-585-86-4

4-O-β-D-吡喃半乳糖基-D-山梨糖醇。

4-O-β-D-Galactopyranosyl-D-glucitol.

甜味药。

Lactitol.

INN,BAN,USAN.

随便看

 

文网收录3541549条中英文词条,其功能与新华字典、现代汉语词典、牛津高阶英汉词典等各类中英文词典类似,基本涵盖了全部常用中英文字词句的读音、释义及用法,是语言学习和写作的有利工具。

 

Copyright © 2004-2024 Ctoth.com All Rights Reserved
京ICP备2021023879号 更新时间:2025/10/17 19:14:24