(3)在ξ的某一邻域内,h”(x)连续,h”(ξ)<0;
(4)φ(ξ)≠0,φ(x)在x=ξ连续,
则当n→∞时,有

显然,当a或b为∞时,只要|φ(x)enh(x)|(n≥n0)在相应的无穷区间上可积,则定理1仍然成立,作为定理1的应用,容易推得重要的斯特林公式:因为
,若取
,由定理1可得
。这就是斯特林公式。
对于在端点达到最大值的情形,类似地可以得到下面的定理。
定理2,设φ(x)与h(x)在〔a,b〕上有定义,且满足:
(1)对于任意整数n≥n0,φ(x)enh(x)在〔a,b〕上可积
(2)h(x)在x=a达到最大值且对任何区间〔α,b〕(α>a),都有
;
(3)存在η>0,使得h”(x)与Φ(x)在〔a,a+η〕内连续;
(4)h’(a)=0,h”(a)<0,φ(a)≠0,
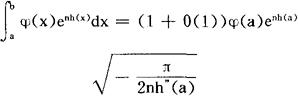
则当n→∞时,有

对于h’(a)≠0或h’(b)≠0的情形,亦有类似的结果。
作为定理2的应用,下面来研究重要的n阶贝塞尔函数
当t→∞时的阶,在定理2中,取
φ(θ)=cosnθ,h(θ)=cosθ,a=0,
则立即可得到
。