网站首页  词典首页

请输入您要查询的字词:

 

字词 拉格朗日插值方法
类别 中英文字词句释义及详细解析
释义 拉格朗日插值方法

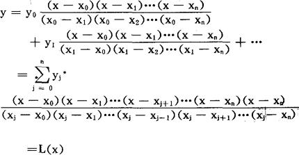
利用近似方程式L(x)来推算有关的插值,即为拉格朗日插值方法。拉格朗日(1agrange)插值方法是误差理论与实验数据处理方法之一种。

设有某函数y=f(x),其中有n+1个点,即x0,x1,x2,…xn的对应值y0,y1,y2,…yn为已知的,那么,就可以用下列次数不高于n+1的代数多项式y=L(x)作为原函数y=f(x)的近似方程:

随便看

 

文网收录3541549条中英文词条,其功能与新华字典、现代汉语词典、牛津高阶英汉词典等各类中英文词典类似,基本涵盖了全部常用中英文字词句的读音、释义及用法,是语言学习和写作的有利工具。

 

Copyright © 2004-2024 Ctoth.com All Rights Reserved
京ICP备2021023879号 更新时间:2025/10/16 21:14:27