拉格朗日插值法
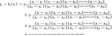
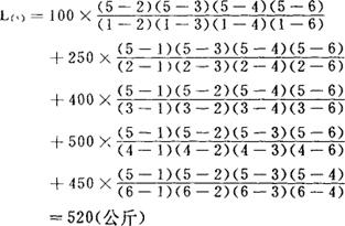
是根据法国著名数学家、力学家拉格朗日所提出的插值多项式来进行统计推算的一种方法。 就是对某现象,如果已掌握其两位以上实际的对应资料(x0y0、x1y1、x2y2……)时,可运用此式计算对应于x点的未知数y的近似值。其插值多项式如下:  如某企业某种产品的产销量及其所对应取得盈利的资料如下: 如某化肥厂对某种正在试制的化肥进行肥效测验,所取得的资料如下表。 试推算施肥量,为每亩5公斤时,相应的某种农作物亩产量。可根据上表资料代入拉格朗日插值多项式来进行计算:   即当每亩施肥量为5公斤时,某种农作物的亩产量估计为520公斤。 |