网站首页  词典首页

请输入您要查询的字词:

 

字词 拉氏指数公式
类别 中英文字词句释义及详细解析
释义 拉氏指数公式

简称“拉氏式”或“L式”。

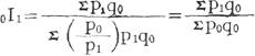
德国统计学家拉斯拜尔主张的一种指数公式。它是以基期数量为权数的加权综合式。其计算公式如下:

式中:I为指数,p为物价,q为销售量。

拉氏指数公式可由三种加权取得。

(1)以q加权的综合式即得到拉氏式:

(2)以p0q0加权的算术平均式,也可得到拉氏式:

(3)以p1q0加权的调和平均式,也可得到拉氏式:

随便看

 

文网收录3541549条中英文词条,其功能与新华字典、现代汉语词典、牛津高阶英汉词典等各类中英文词典类似,基本涵盖了全部常用中英文字词句的读音、释义及用法,是语言学习和写作的有利工具。

 

Copyright © 2004-2024 Ctoth.com All Rights Reserved
京ICP备2021023879号 更新时间:2025/10/17 13:15:14