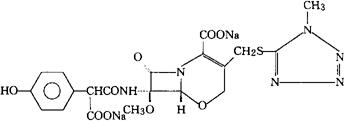
拉氧头孢二钠[中]
C20H18N6Na2O9S=564.44 CAS-64953-12-4 CAS-64952-97-2(moxalactam) 7-[[羧(4-代羟苯基)乙酰基]氨基]-7-甲氧基-3-[[(1-甲基-1H-四唑基-5)硫]甲基]-8-氧代-5-噁-1-氮杂双环[4.2.0]辛-2-烯-2-羧酸二钠盐。 7-[[Carboxy(4-hydroxyphenyl)acetyl]amino]-7-methoxy-3-[[(1-methyl-1H-tetrazol-5-yl)thio]methyl]-8-oxo-5-oxa-1-azabicy-clo[4.2.0]oct-2-ene-2-carboxylic acid,disodium salt. N-[(6R,7R)-2-羧-7-甲氧-3-[[(1-甲基-1H-四唑-5-基)硫代]甲基]-8-氧-5-噁-1-氮杂双环[4.2.0]辛-2-烯-7-基]-2-(对羟苯基)丙酰胺酸二钠盐。 N-[[(6R,7R)-2-Carboxy-7-methoxy-3-[[(1-methyl-1H-tetrazol-5-yl)thio]methyl]-8-oxo-5-oxa1-azabicyclo[4.2.0]oct-2-en-7-yl]-2-(p-hydroxyphenyl)malonamic acid disodium salt. 抗感染药。用于大肠杆菌、克雷伯氏菌、沙雷氏菌等引起的败血症、脑膜炎、呼吸道感染、肝胆道感染、腹膜炎、尿路、生殖器官等严重感染。拉他头孢,氧杂头霉素二钠。 Moxalactam Disodium,Latamoxef Disodium,Moxam,Ly 129735,Lamoxactan Disodium. 静注,肌注用针剂。 INN & BAN(Latamoxef),USAN,USP(Moxalactam Disodum),MI.  |