指数公式法
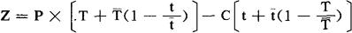
利用经验或单纯评价因子组合成计算公式,再用公式来计算方案的评价指数。 根据计算公式的不同,可以把指数公式法分为以下几种形式: (1)奥尔森法 适合于评价和选择新产品开发方案、老产品革新方案和工艺革新方案。其计算公式为  式中投资效益为方案实施后预计的年纯收益额;方案的成功概率由经验来确定。 方案的评价指数大于或等于3,则认为方案可取。 (2)帕西菲柯法 适用于长期开发方案以及风险系数较小的方案。 其计算公式为:  式中,Rc为商业成功概率(0.1~1);Rt为技术成功概率(0.1~1);P为产品价格;C为制造和销售成本;V为年销售额;L为产品的商业寿命;总费用包括研究、工程、设施、市场开发及流动资金等。方案的评价指数大于或等于2则认为方案可行,否则,它就没有开发价值。 (3)蒂尔法 适用于特殊类型的产品开发。其公式为: 评价指数=I1×I2×I3×I4 式中,I1为开发费用收益指数(I1=N/25S,N为新产品在生命周期内创造的纯利润;S为开发费用);I2为固定资产收益指数(I2=N/0.135A,A为必须的固定资产);I3为销售额增加指数(I3=b/0.48B,b为新产品销售额;B为在新产品生命周期内生产厂家的总销售额);I4为市场占有指数(I4=b/0.5M,M为新产品的全部市场)。 如果评价指数大于或等于1,则认为方案可取。这种方法由于把经济因素与决策论结合在一个4因素的模型中,所以具有较高的精度。 (4)索尔贝曼法 不仅估计新产品开发的纯收益和研制费,而且还考虑平均的产品研制时间和产品生命周期。其计算公式为:  式中,Z为产品价值;P为新产品的年平均估算利润;C为新产品估算的年平均开发费用;t为新产品开发的估算时间; 为新产品开发的平均时间。 |