指数平均预测法
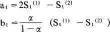
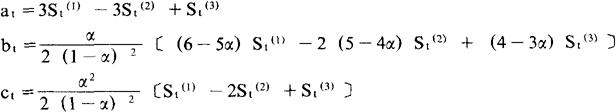
时间序列预测法的一种。 利用它可以对时间序列资料的不规则性加以修匀,找出事物在主要因素的作用下,时间序列变化的规则成份,预测未来经济的发展。 一次指数平均的计算公式如下:  式中, *为第t期的一次指数平均值;Xt为第t期的实际观察值;α为加权系数。将上式按递归关系展开,得到: 由此可见,St是所有Xt的指数加权平均值。由于1-α<1,所以距离前期t越远,数据被赋予的权数(1-α)k就越小。 一次指数平均一般用于数据整理。二次或三次指数平均是指在一次指数平均值序列 , , 的基础上所实施的指数平均,其值分别以 或 表示。 如果时间序列X1,X2,……,Xt具有线性趋势,则应使用二次指数平均,求出平滑系数at、bt,建立以下线性时间序列关系数学模型来进行预测: Yt+T=at+btT 式中,t为目前周期数。T为由目前周期t到需要预测期的周期数;Yt+T为第t+T周期的预测值;at、bt为平滑系数,其计算公式是:  如果时间序列X1,X2,…,Xt具有曲线趋势,则应采取三次指数平均,求出平滑系数at、bt和ct,建立以下抛物线型数学模型来进行预测: Yt+T=at+btT+ctT2 式中,at、bt和ct的计算公式分别是: 
|