按工作岗位数计算定员
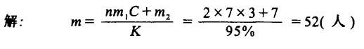
[说明]对于看管一条机械化的生产线(或自动流水线),或一台复杂的联动机(如抄纸机)的工作,可按规定查定的工作岗位数,并考虑每日生产的班次数、出勤率及每年开工生产的天数等因素来确定其所需人数。  式中 m——计划定员人数 n——同型机台数 m1——每台定员人数 C——每日班数 m2——轮休人数 K——工人的计划出勤率(%) [例]一台日产25t新闻纸的长网造纸机的岗位定员情况为:放料工(兼班长)1人,看网工1人,压榨工(三道)2人,干燥部2人,压光卷曲1人,共7人。如果该抄纸工段有同类型纸机两台,三班连续生产,除大修外,例假及节日均不停产,而工人按规定每六天轮休一天,工人的计划出勤率为95%,求该工段两台纸机所需计划定员人数。  |