推广
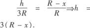
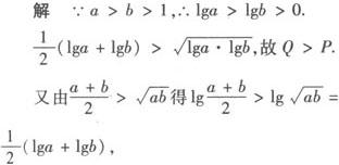
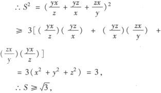
如果a1,a2,…,an∈R+,且n>1,则 ((当且仅当a1=a2=…=an时取“=”号). 例1 已知圆锥的底面半径为R,高为3R,在它的所有内接圆柱中,全面积的最大值是( ).  分析 本题考查了圆锥与圆柱的基本计算,同时考查了利用均值不等式求最值.  解 如图作圆锥的轴截面图,设内接圆柱的底面半径为x,高为h,则由三角形相似可得:  ∴圆柱的全面积为: S全=2πxh+2πx2 =2πx·3(R—x)+2πx2 =2πx(3R—2x) =π·2x(3R—2x) . 当且仅当2x=3R—2x即x=3/4R时取“=”号,故选B. 评析 本题也可用二次函数求最值 例2 a>b>1, ,Q=1/2(1ga+lgb), ,则( ). A.R C.Q 分析 本题考查了对数的基本性质及均值不等式的应用.  故R>Q,从而选B. 评析 本题也可用特殊值法来判定,如果a=100,b=10,很容易选B,解这类题要善于利用特例法求解,利用均值不等式和函数单调性比较大小是常用的方法. 例3 设x、y、z为正数,x2+y2+z2=1,试求 的最小值. 解 若a、b、c∈R+,则由平均值不等式可知:a2+b2+c2≥ab+bc+ca∴(a+b+c)2≥3(ab+bc+ca),  当且仅当x=y=z时取得最小值 . |