网站首页  词典首页

请输入您要查询的字词:

 

字词 插补原理及其实现
类别 中英文字词句释义及详细解析
释义 插补原理及其实现

对于连续轨迹数控系统,除应使工作台(刀架)准确定位外,还应控制刀具相对于工件以给定的速度沿指定的路径运动,以便切削出工件轮廓,保证其加工精度和光洁度。因此,插补功能是必不可少的。

数控系统根据零件加工程序数据段的信息,采用数字方式进行计算,按计算结果向机床各坐标轴发出相互协调的位置命令或指令脉冲。这种计算,就称为插补。

直线和圆弧是构成零件轮廓的基本线条。大部分数控系统,都具有直线和圆弧插补功能。某些较高级的数控系统,还具有抛物线、螺旋线等插补功能。普通数控系统(硬接线数控系统),由专门完成插补计算的装置(插补器)完成插补功能。计算机数控系统(CNC)和微机数控系统(MNC)由软件完成插补,或以软、硬件相结合的方式完成插补。数控系统常用的插补方法见表8.5-14。其中的脉冲增量插补,又称行程标量插补或标准脉冲插补,这种插补方法适用于以步进电机为驱动装置的开环数控系统,插补的结果以脉冲的方式输给驱动系统,驱动各坐标轴步进电机协调运行。一个脉冲所产生的沿坐标轴的移动量,称为脉冲当量,是脉冲分配的基本单位,通常用δ表示,普通数控机床一般选用δ=0.01mm/脉冲,较精密的数控机床选用δ=0.005mm/脉冲、δ=0.0025mm/脉冲或δ=0.001mm/脉冲等。而数据采样插补,又称时间标量插补,这种插补方法用于以伺服电机为驱动元件的计算机闭环(或半闭环)数控系统。插补周期可以与位置反馈采样周期相同,也可以是位置反馈采样周期的若干倍。在前一种情况下,插补程序在每个采样周期中被调用一次,算出坐标轴在一个周期中的增量值(而不是脉冲),得到坐标轴相应的指令位置,与通过位置采样所获得的坐标轴实际位置(数字量)进行比较,求得跟随误差。位置伺服软件将根据跟随误差算出坐标轴当前的进给速度,输给驱动装置。

表8.5-14 常用的插补方法

若在给定的时间T内,最后一级触发器发生M次翻转(溢出M个脉冲),则或门输出的脉冲总数应为S=M·A。该式表明,在T时间间隔内,脉冲乘法器输出的脉冲总数为存放在坐标寄存器中的二进制数与溢出的脉冲数M的乘积。

图8.5-60所示是四位分频器(A=5、M=1)脉冲乘法器输出的情况。输出脉冲是不均匀的。为增加输出脉冲的均匀度,设置了均匀器。均匀器实际是一二进制分频器,常采用二级或三级(分频系数为4或8)。增设均匀器后,输出脉冲总数将变少。例如,加二级均匀器后,输出脉冲总数为S/4。为保持输出总脉冲数不变,需将主分频器的容量扩大,即加设倍乘器。倍乘器的级数和均匀器的级数相等。增加倍乘器后,进给速度(输出脉冲频率)将降低。为保证进给速度不变,应加大CP脉冲的频率。例如,二级倍乘器需将CP脉冲频率扩大4倍。

以上所述的二进制脉冲乘法器可完成一个坐标轴控制。若进行多坐标轴控制,只需配相应的脉冲乘法器套数即可。

用Z80CTC芯片可实现BRM功能。Z80CTC具有四个独立的定时/计数通道,每个通道可工作于定时工作方式或计数工作方式,可由程序加以选择。其中三个通道(通道0、1、2)具有“计数回零”/“时间到”(ZC/TO)输出信号,可作为控制信号。当CTC设定为计数方式时,减法计数器由外部脉冲源控制减数,每当该通道CLT/TRG端输入一个脉冲,便使减法计数器减1。减法计数器减到零时,该通道的ZC/TO端便输出一个控制脉冲。CTC带有一个8位时间常数寄存器,由CPU通过程序对该寄存器置数。在计数状态下,如果时间常数不改变,则CTC将按预置的时间常数分频工作。由于CTC的时间常数只有8位,若用CTC的一个通道控制一个坐标轴,则斜率范围会受到限制。例如,在两坐标联动的情况下,直线终点坐标为(Xe、Ye),将X轴CTC通道的时间常数设为Ye,Y轴CTC通道的时间常数设为Xe,则Y轴与X轴输出脉冲数之比为Ye/Xd,其插补斜率为

Fij=yjxe-yexi (8.5-23)

式中 xt、yj分别为动点P的x轴、y轴坐标分量;xa、ye为终点A的坐标分量。

当Fij>0时,P点在直线上方。为使偏差减小,应向x方向走一步,此后有:

表8.5-15 插补进给坐标与方向

插补过程中,通过判别LC(MC)是否为“0”,确定是否到达终点。到达终点后,设置“插补完成标志”。x和y坐标的“插补完成标志”均为“1”时,表示已到达终点。向x轴发脉冲时,方向由RL确定。当RL为正时,向正x方向发脉冲;RL为负时,向负x方向发脉冲。向y轴发脉冲时,方向由RM确定。坐标交换后,进给的坐标轴也需交换,向x轴发脉冲变成向y轴发脉冲,向y轴发脉冲变成向x轴发脉冲。

图8.5-66所示为在一个象限内进行插补的情况。首先进行坐标交换处理。由表8.5-15可以看出,顺圆第一、三象限及逆圆第二、四象限需进行坐标交换。直线插补的递堆增量是常量,圆弧插补的递堆增量是变量:

LRi=-2xt+1 (8.5-34)

MRf=2yj+1 (8.5-35)

x方向走一步,LRi的变化为:

LRi-1=-2(xi-1)+1=LRt+2 (8.5-36)

y方向走一步,MRj的变化为

MRj+1=2(yj+1)+1=MRj+2 (8.5-37)即在每走一步后,计算新偏差函数前,先分别在RL、RM寄存器中加2。LR、MR寄存器的初始值应为:

LR0+1=-2(x0+1)+1=-(2x0+1) (8.5-38)

MR0-1=2(y0-1)+1=2y0-1 (8.5-39)

与直线插补的情况不同,圆弧插补的终点判别值为起点坐标值与终点坐标值之差,即

LC=x0-xe (8.5-40)

MC=yc-y0 (8.5-41)

圆弧插补的过象限:自动过象限是圆弧插补的特有问题。x0与xa或y0与ye的符号不一致,说明起点和终点不在同一个象限内,需要过象限。如果x0与xe符号一致,y0与ya的符号也一致,但x0-x和ye-y0(对第一象限逆圆,其它情况需考虑坐标转换)出现负值,则也需过象限。这种情况往往需要过四次象限,作五次插补,才能到达终点。

判断自动过象限需用数据符号。对于零值,在穿孔纸带或工艺文件上总冠以正号,经数据预处理后的零值也冠以正号。为了进行自动过象限的判断,必须根据具体情况确定零值的符号。例如,有一点(x、0),此点一定在x轴上。在逆圆的情况下,如果该点是插补的起点,则这点应属于第一象限,其坐标x0=x,y0=0,这时y0的符号应为正。如果这点是插补的终点,则在插补过程中是从第四象限逐步走到这点上,这时y。尽管是零,但其符号应是负的。x为正、y为负,说明终点在第四象限。其它情况类推。

图8.5-67所示是自动过象限流程。由于圆弧插补存在过象限问题,故坐标数据需有备份。判别过象限前,需进行边界处理。需要过象限时,设置过象限标志。把起点所在象限的边界点(走出本象限的一点)作为本次插补的终点,同时作为下个象限继续插补的起点,连同原来的终点坐标作为后续插补计算的一组数据放在缓冲区。对当前插补数据进行一次插补。然后检查标志,若处于设置状态,表明还要进行后续的插补计算。取出存放在缓冲区中的数据,再进行过象限判断和处理。直至判定不需过象限时,清标志,再作插补计算。插补结束,照例检查标志。当标志已被清除时,整个圆弧插补结束。

4.4.3 数字积分插补法

采用数字积分法插补,脉冲分配均匀,易实现多坐标直线插补,能够描绘出各种平面函数曲线,因此在轮廓控制数控系统中得到广泛应用。其缺点是速度调节不方便、插补精度需要采取一定措施才能得到满足。不过采用软件实现数字积分插补时,上述缺点很容易得到克服。

根据积分学的基本原理,函数x=f(t)在0至τ区间的积分就是函数曲线与横坐标t在0~τ段间所围成的面积。可以近似看成是该曲线下面的许多小矩形面积之和,如图8.5-68所示,即

亦即积分运算可以近似地化成求和运算。在Δt取得足够小的情况下,这种近似计算可以保证足够的精度。

现设置一寄存器,用以存放x值,再设置一具有累加功能并能存放累加结果的累加寄存器。每当Δt出现一次,x寄存器中的x值就与累加寄存器∑x中的数相加,并将结果存放在累加寄存器∑x中。若累加寄存器的容量为一个单位面积ΔS,x寄存器和累加寄存器有著同样的容量,则相加后超过累加寄存器的容量(一个单位面积),必然溢出一个ΔS。将ΔS汇总起来就是总面积S,即积分值。

数字积分器也称数字微分器DDA(Digital Differential Analyzer)。

直线插补:对于图8.5-69所示直线,其终点坐标为(xa,ye),动点沿x、y坐标的速度为Vx,Vy。动点沿x、y坐标移动的微小增量可以表示为:

Δx=VxΔt (8.5-43)

Δy=VyΔt (8.5-44)

对于直线,Vx、Vy为常数,因此下式成立

可以把动点从原点走向终点的过程看作为x、y坐标每经过一个单位时间间隔Δt分别以Kxe、Kye同时累加的结果。据此可以作出如图8.5-70所示的完成直线插补的数字积分器。其主要部件是余数寄存器和被积函数寄存器,每个坐标一套。在累加脉冲Δt的作用下,被积函数寄存器中的数与相应余数寄存器中的数相加,溢出作为相应轴的进给脉冲,余数则存在余数寄存器中。图b)是用积分器逻辑符号表示的直线插补积分器。设经过m次累加达到终点,则

由上式可见,m·K=1。只有m=1/K,经过m次累加,x、y坐标分别到达终点(xa、ya),溢出的脉冲总数才为x=xa,y=ye,而m一定为整数。可见,K必为小数。关于K的选择,主要考虑使每次增量Δx和Δy不大于1,以保证每次分配的进给脉冲不超过1个,即使下式成立

Δx=Kxa<1,Δy=Kya<1

其中,xa、ya的最大允许值受被积函数寄存器容量的限制。假定寄存器有n位,则xa、ye的最大允许寄存容量为2n-1。若取K=,则必定满足

❶ 被积函数寄存器中存的坐标值与直线的对应关系相反,即x坐标的被积函数寄存器存y坐标的数值,y坐标的被积函数寄存器存x坐标的数值。

❷ 直线插补时,被积函数寄存器存的是终点坐标值(常值)。而圆弧插补时,被积函数寄存器存的是动点坐标值(变量)。在插补过程中,随著动点位置的变化,被积函数寄存器中的数值也随之变动。开始插补时,x、y坐标的被积函数寄存器JVx(y)、JVy(x)分别寄存起点坐标值y0、x0。在插补过程中。y坐标余数寄存器JRy溢出一个脉冲Δy,JVx(y)中的数值加1;x坐标余数寄存器JRx溢出一个脉冲Δx,JVy(x)中的数值减1。

其它象限的逆圆和各象限的顺圆的运算过程及积分器结构,基本上与第一象限逆圆相同,其区别仅在于各坐标的进给方向不同,修改JVx(y)、JVy(x)内容时的加、减规律不同,见表8.5-16。

表8.5-16 各象限数字积分圆弧插补规律

4.4.4 比较积分法

这是将数字积分法和逐点比较法相结合而形成的一种插补方法,既具有数字积分法的能方便地实现多种函数插补和多坐标直线插补的优点,又具有逐点比较法的速度平稳、调节方便的优点。

由数字积分插补法的讨论可知,一个函数的定积分可以用矩形公式求和进行近似计算。

已知直线的终点坐标为xe、ya,可以列出直线方程:

若F>0,表明x轴输出脉冲时间间隔超前(ya多发),则应控制y轴进给,进行xa的累加;若F<0,表明y轴输出脉冲时间间隔超前(xe多发)、则应控制x轴进给,进行ye的累加,如此进行下去,即可实现直线插补。

图8.5-76所示为第一象限逆圆弧A,起点坐标为A(x0,y0),终点坐标为B(xe、ye)。显然符合下列方程:

x2+y2=R2

上式是公差分别为-1和+1的等差数列,圆弧就根据这组等差数列产生。根据上式可作出如图8.5-77所示的第一象限逆图弧进给脉冲分配序列。

第一、三象限逆圆和第二、四象限顺圆矩形求和公式为

4.4.5 直接函数运算(DFB)插补法

直接函数运算法和逐点比较法类似,都是一种代数运算方法。其不同点在于逐点比较法的进给方向为x方向或y方向,而直接运算法的进给方向为沿坐标轴或沿45°方向。直接运算法可以通过插补方向的试算进一步减少插补误差。

直线插补:直接函数运算法将直角坐标系的每个象限都用45°斜线划分成两个区域,共有八个区域,称为八个卦限,用0~7表示。各个卦限的插补运算都可按0卦限的插补运算进行,只是各卦限的进给坐标及方向有所不同。图8.5-80所示为0卦限中的直线,终点A的坐标为(xe,ye)。引入偏差函数Fij,即Fij=yjxe-xiya。动点在直线上方时,F;j>0;动点在直线上时,Fij=0;动点在直线下方时,Fij<0。当Fij≥0时,应向+x方向进给一步,新的偏差函数为

Fi+1,j=yjxa-(xi+1)ya=Fij-ya (8.5-67)

当Fij<0时,应向+x,+y同时进给一步,新的偏差函数为

Fl+1j+1=(yj+1)xa-(xt+1)ye=Fij+xa-y (8.5-68)

因为插补从坐标原点开始,所以Fij的初始值为“0”。只在x方向(沿坐标轴方向)进行终点判别即可。当xi=xa时,到达终点,插补结束。

不同卦限直线插补的坐标变换及进给方向如图8.5-81所示,将其归纳后见表8.5-17。

表8.5-17 不同卦限的进给坐标及方向

圆弧插补:也划分为八个卦限,各卦限内的圆弧插补都统一用0卦限的插补公式运算。每个卦限中又分为顺圆插补和逆圆插补两种情况。实际脉冲进给方向根据卦限和圆弧走向确定。对于如图8.5-83所示0卦限逆圆弧,可引入偏差计算函数

Fij=+-R2

当Fij>0时,动点在圆外,应同时向+y,-x走一步。走一步后,

xi-1=xj-1 (8.5-69)

yf+1=yj+1 (8.5-70)

Fi-1j+1=(xi-1)2+(yj+1)2-R2

=Fjj-2xj+2yj+2 (8.5-71)

当Fij≤0时,动点在圆内或圆上,应向+y走一步。走一步后,

yj+1=yj+1 (8.5-72)

Ftt+1=+(yt+1)2-R

=Fjj+2yj+1 (8.5-73)

对于0卦限的顺圆,当Fij>0时,动点在圆外,应向-y走一步。走一步后,

yj-1=yj-1 (8.5-74)

Fij-1=+(yj-1)2-R2

=Fij-2yj+1 (8.5-75)

当Fij≤0时,动点在圆上或圆内,应向+x,-y同时走一步。走一步后,

xj+1=xl+1 (8.5-76)

yj-1=yf-1 (8:5-77)

Ft+1j-1=(xi+1)2+(yj-1)2-R2

=Fij+2xi-2yf+2 (8.5-78)

总结各象限逆、顺圆进给坐标及方向见表8.5-18。由表可以看出,偶数卦限的逆时针圆弧及奇数卦限的顺时针圆弧,可按0卦限逆时针圆弧的插补规律进行插补运算,偶数卦限的顺时针圆弧及奇数卦限的逆时针圆弧,可按0卦限顺时针圆弧的插补规律进行插补运算。此外,第1、2、5、6卦限的圆弧插补应先进行坐标变换。圆弧插补框图如图8.5-84所示。

表8.5-18 图弧插补坐标变换及进给方向

4.4.6 时间分割法

这种方法,是根据进给速度计算出插补周期的轮廓进给步长f,然后进行插补计算,输出各联动坐标轴的周期进给增量。

如图8.5-85所示直线,起点为坐标原点,终点为A(xa,ya)。插补的任务是根据程编进给速度F、终点坐标值xe和ya计算出插补周期Δf中各坐标轴的位移量,即

但在式(8.5-81)中,由于存在未知数cosα、sinα,故难以求解。为此,以cos45°代替cosα,sin45°代替sinα,即

其中,DAt+1=Δxi+1;AtAt+1=f=VΔt(设在一个插补周期At内的进给速度均为V)。

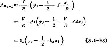
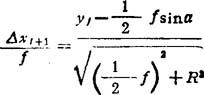
在直角三角形AtFB中,AtF=AtB·sinα=fsinα,因此OF=AiE-AiF=yffsina。

在直角三角形OAiB中,OB==,故有

在直角三角形OEAt中,

代入上式得

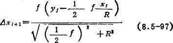
由于f《R,可将(f)2项略去

式中 λd=出,相当于角步距。

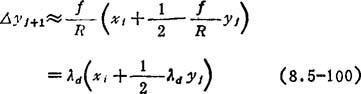
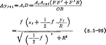
由两个相似三角形ΔOFB和ΔAtDAt+1,还可得到

由直角三角形AtFB得 FB=AiB·cosα=·f,又FF=xt,AlAi+1=f=VΔt,OB=,故有

略去(f)2项后得

第一象限顺圆,

xi+1=xi+Δxi+1 (8.5-101)

yj+1=yj-Δyf+1 (8.5-102)

利用上面得到的公式求出Δxt+1和Δyf+1后,很容易得到经过一个插补周期后刀具的坐标位置。

随便看

 

文网收录3541549条中英文词条,其功能与新华字典、现代汉语词典、牛津高阶英汉词典等各类中英文词典类似,基本涵盖了全部常用中英文字词句的读音、释义及用法,是语言学习和写作的有利工具。

 

Copyright © 2004-2024 Ctoth.com All Rights Reserved
京ICP备2021023879号 更新时间:2026/3/13 22:41:58