网站首页  词典首页

请输入您要查询的字词:

 

字词 收入支出说货币理论
类别 中英文字词句释义及详细解析
释义 收入支出说货币理论

J·M·凯恩斯在他1936年出版的《就业、利息与货币通论》一书中所阐明的关于货币与社会总支出进而与总收入之间关系的理论。

凯恩斯于1936年出版《就业、利息和货币通论》,将国民收入的决定问题作为其货币理论研究的中心,把货币放在对宏观经济总量(总支出、总产量、总就业、总收入)及其变化的影响中来考察,建立起著名的收入支出说货币理论,并以此完成其货币理论的“三部曲”。

收入支出说货币理论的基本观点是:

社会的总收入,与总产量、总就业水平切切相关。就业越多,产量越高,社会的总收入水平才会越高。而一个社会的就业与产量,决定于社会的总支出水平,凯恩斯把它叫做有效需求,包括消费需求和投资需求。只有当这两部分需求所构成的社会总需求等于社会的总供给时,社会的总产品才能全部实现,经济均衡才可能出现。因此,消费与投资成为国民收入的决定因素。而消费与投资又各受制于不同的规律,受各种不同因素的影响。

为了研究消费对国民收入的影响,凯恩斯建立了边际消费倾向的概念。按照凯恩斯的理论体系,社会总收入从价值的形态可以分为消费与储蓄,社会总收入扣除消费后的剩余即构成社会的储蓄,因而消费与储蓄都是收入水平的函数。消费随收入变化的函数关系叫作消费倾向。消费倾向的大小可以用消费占收入的比例关系来表示。若以C表示消费,以Y表示收入,则消费倾向可以表述为C=f(Y)=C/Y。同理,储蓄随收入变化的函数关系即可用储蓄倾向来表示。以S代表储蓄,储蓄倾向即为S=f(Y)=S/Y。若要观察三者的动态变化,则可用消费与储蓄增量△C与△S占收入增量△Y的比例即边际消费倾向MPC=△C/△Y和边际储蓄倾向MPS=△S/△Y来表示。根据定义,C/Y+S/Y=1,△C/△Y+△S/△Y=1。凯恩斯认为,国民收入在消费与储蓄间的分配比例对社会的投资进而对社会的总收入具有非常重大的关系,这种关系凯恩斯用所谓“投资乘数”来加以说明。他指出,投资增加能使社会总收入成倍地增加,其倍数关系即为“投资乘数”。“投资乘数”的大小直接决定于社会的边际消费倾向或边际储蓄倾向。若用△I表示社会的投资增量,用△Y表示社会的收入增量,K表示投资乘数,根据定义:

K·△I=△Y

K=△Y/△I

因为:△Y=△C+△I

且:MPC=△C/△Y

=(△Y-△I)/△Y

=1-△I/△Y

=1-1/K

投资乘数等于1减去边际消费倾向的倒数或边际储蓄倾向的倒数。边际消费倾向越大(或边际储蓄倾向越小),其投资增加使收入增加的倍数就越大。但是,凯恩斯认为,客观上存在著一个边际消费倾向递减的心理规律,这就意味著当产量增加导致社会总收入增加以后,收入增量的一部分总会用于储蓄。在这种情况下,假如储蓄没有完全转化为投资,增加的产量就会有一部分无法实现其价值,因而在继后的一段时期里引起生产的减缩和资源的闲置。因此,由边际消费倾向递减规律所引起的收入与消费间的缺口,需要靠储蓄转化为投资来弥补。

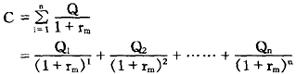
为了阐明投资对国民收入的重要性,凯恩斯建立了资本边际效率的概念。他认为,社会的总收入从实物的形态可以分为消费与投资,社会总产品扣除生活消费以外的剩余即为社会的生产消费(投资品)。于是,储蓄转化为投资成为经济均衡的前提条件。凯恩斯认为,投资决定于资本边际效率与利率的对比。资本的边际效率,也就是预期的利润率,它是由资本资产的未来收益与其供给价格之比决定的。资本资产的未来收益折成现值应该等于其供给价格,因此将收益折为现值的折算率即贴现率,也就是资本的边际效率。若以Q1,Q2,……,Qn分别代表历年的资产收益,以C代表供给价格,以rm代表贴现率,则:

式中的rm即为资本的边际效率。对投资企业来说,利率与资本边际效率分别代表他们的投入和产出。显然,只有当利率小于资本边际效率时,投资才可能扩大。但是,客观上存在著一种由收益递减规律引发的资本边际效率递减的规律,因而只有不断降低利率,才能保持资本边际效率大于利息率的对比关系。这样一来,利率就成为凯恩斯理论体系中诱发投资的关键变量。

为了分析利率对投资的重要作用,凯恩斯又建立了灵活偏好的概念。他认为,货币是最具灵活性的一种资产,持有货币能够给人们带来周转灵活的方便,满足交易、预防和投机三个动机的需要,因而放弃货币的灵活性是应该得到一定的补偿的。利率就是放弃灵活偏好的一种报酬率,它决定于货币数量与灵活偏好的对比。由于客观上存在著一种灵活偏好倾向,因而控制利率的关键还在于控制货币数量。这就是说,灵活偏好是一个内生变量,而货币供应则是一个外生变量,它是由政府金融当局所控制的一个政策变量,因而是政府调节利率水平的重要手段。

因此,通过增加货币供给,可以促使利率水平下降;利率下降改变利率与资本边际效率的对比,刺激投资增加;投资增加通过投资乘数的作用会使社会的总支出进而总收入成倍地增长,促使经济在提高社会总收入水平的基础上达到充分就业的均衡。这就是凯恩斯理论体系中货币对经济发挥作用的传导机制过程,显然,它是以利率对诱发投资的刺激作为媒介的,利率也因此而成为凯恩斯宏观货币政策的中介指标。

随便看

 

文网收录3541549条中英文词条,其功能与新华字典、现代汉语词典、牛津高阶英汉词典等各类中英文词典类似,基本涵盖了全部常用中英文字词句的读音、释义及用法,是语言学习和写作的有利工具。

 

Copyright © 2004-2024 Ctoth.com All Rights Reserved
京ICP备2021023879号 更新时间:2025/12/12 20:10:20