放大电路的分析方法
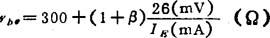
大信号单级放大电路,通常采用图解分析法。这种方法以三极管的特性曲线和负载线为基础,能形象、准确地分析输出和输入信号的变化情况。 如图8.3-6所示基本电路,若设电路的Ucc=12V、Rc=4kQ、RL=6kΩ、RB=300kΩ,则其具体的步骤是:先利用方程UCE=Ucc-RcIc在输出特性曲线上作直流负载线MN(这是斜率为- 的直线)。由于IBo≈Ucc/RB,故直线MN与IBO曲线的交点即为Q点。然后,通过Q点作出交流负载线M′N′,其斜率为-1/R (R =RC∥RL).最后,由输入特性曲线求出ul所对应的ib的波形,再由输出特性曲线及交流负载线求出ib波形所对应的ic和uce(即u0)的波形,如图8.3-9所示。 对于小信号放大电路的动态性能。通常采用简化的微变等效电路进行分析,如图8.3-10所示。可以看出,这里引入了受控源。分析含受控源的电路,仍可依据克希荷夫定律和元件的伏安关系。但对含受控源的二端网络应用戴维南定理求等效电阻时,不可把受控电压源短路,也不可将受控电流源开路,而只可将独立源除去,保留受控源,然后采用加压求流法或开路电压除以短路电流法求得等效电阻。其具体的分析步骤如图8.3-11所示。先画出放大电路的直流通路,如图a)所示。该电路的静态工作点Q为;  UcEo=Ucc-RcIcO 然后,根据图b)所示交流通路画出微变等效电路如图c)所示。图中rb。是三极管的输入电阻,一般为几百欧到几千欧。小功率低频管的输入电阻常用下式估算:  式中 IE为三极管的发射极电流, 最后,分析图示放大器的主要性能指标。 电压放大倍数 u:指正弦信号输出电压相量 0与输入电压相量 l之比,即  式中 φ为输出电压与输入电压间的相位差; =Rc∥RL. 频率特性:指电压放大倍数 u随输入正弦信号的频率变化的关系,其中Au=f(f),称为幅频特性;φ=f(f)称为相频特性,|Au|≥ 的一段频带,称作放大器的三分贝频带,通常以它作为衡量放大器频带宽窄的指标。 输入电阻rB指由微变等效电路输入端看进去的电阻,为  输出电阻r0:指当ul=0时,由微变等效电路输出端看进去的电阻,为 r0=Re |