网站首页  词典首页

请输入您要查询的字词:

 

字词 政府债务的经济影响:文献考察
类别 中英文字词句释义及详细解析
释义 政府债务的经济影响:文献考察

【内容介绍】:

1.引言

本文主要从行为观点回顾公债理论和政策的一些重大问题。

第2节介绍跨时政府预算约束,讨论政府债务和赤字的可持续性。第3节重点分析政府债务的各种经济影响,主要介绍李嘉图学派的观点、新古典学派(Neoclassical)的观点和凯恩斯学派的观点。

可以看出,公债和赤字对经济的各种影响取决于一整套共同决定因素。至于所要追求的公债政策,大多取决于决策者的目标及其对经济运行的看法;而这些目标和看法到底是什么,则是公债和赤字的实证理论所解决的问题。

因此,第4节则从历史的角度区分了根植于公共选择理论的模型与源于经济政策宏观理论的模型。

2.跨时政府预算约束

政府债务的实证分析与规范分析一般都是从政府的预算恒等式开始。

根据布特(Buiter,1990,p.62)的研究,政府预算恒等式可大致写成下列形式:

货币创造+债务销售=经常性支出-税收+债务利息+净资本形成-公共资产的净所得

上式中的右边界定了公共部门的预算赤字,也是官方统计中常用的一种方法。在这个定义中,公共部门资产的销售被看作是一个负项。

赤字可以通过债务销售或货币创造来融资。

就后者而言,在名义收入增长较快的情况下,政府在很大程度上可以选择货币创造,因为这时的货币需求增加了。相反,通货膨胀的负效应(例如利率上扬)会降低利用通货膨胀税的可能性,因为这时的货币需求减少了。此外,由于通货膨胀隐含地对持有货币余额征税,它也会同明显的税收一样造成无谓损失。

倘若不考虑货币因素和外貌关系,并以代数形式表示,上述等式可表述如下(van Velthoven,Verbon and van Winden,1993,p.4):

△S/Y=g-t+rS/Y+△K/Y-fK/Y (1)

式中各符号的经济含义是:

S——有息政府债务

g——经常性政府支出(即扣除了利息支付和资本形成)占国民收入(Y)的比率

t——平均税率

r——利率

K——公共部门的资本存量

f——资本存量K的收益率

令s=S/Y,k=K/Y,可得:

(1+n)△s=(r-n)s+g-t+(1+n)△k+(n-f)k (2)

式中的n代表国民收入增长率。最后,令b=s-k,即扣除公共部门资产后的债务比率,得到:

(1+n)△b=(r-n)b+g-t+(r-f)k (3)

根据方程式(3),倘若f=r,也就是说,倘若政府资本品具有市场收益率r,用于偿还部分政府债务而销售公共部门资产并未改变“净”债务状况b。

倘若其收益率f偏离市场利率r,就会发生资本利得或资本损失。可是,有关公共资产的数据资料很难获取,以致于对公债比率进行必要调整以获得正确的净财富状况估计几乎是不可能的。尽管如此,通常还是要求把公共部门投资在预算中单列出来,以便以各种方式限制经常性政府支出。这个法则的一种情况就是所谓的“预算平衡的黄金律”(golden rule of budget balance),它要求预算要平衡,但公共部门资产投资不受此法则约束。

这一问题在下文再讨论,这里为了简化分析先假定f=r,并把b称为债务比率。

在所谓的动态无效率情况下,n>r,对债务政策没有明显的限制。倘若不存在原始赤字或称基本赤字,也就是说,g-t=0,那么,根据方程式(3)就可看出,未偿债务不会带来任何持续性问题。在这种情况下,

(1+n)△b=(r-n)b<0

而且,任何既定的债务比率值都将收敛于零,政府只是通过增加举债为其债务利息融资。倘若原始赤字是正的,即g-t>0,根据方程式(3)可知,债务比率将收敛于(g-t)/(nr)。因此,在动态无效率情况下,无需产生原始盈余(g-t<0),以稳定长期债务比率。

很明显,正如一些经济学家所主张的那样,在长期,n>r这种情况不可能是真实的(Boadway and Wildasin,1993,p.37-68)。所以,要做出这样的假定,即r>n。

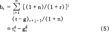
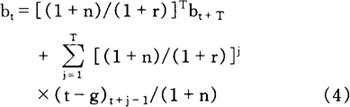
根据定义,方程式(3)在每个时期都成立,则现在的债务比率可以写成是在时间T的债务比率的函数:

当T→∞时,如果债务比率的增长率低于(r-n),或者,未偿实际政府债务的增长率低于r,则右式中的第一项收敛于零。利用这种所谓的横截性条件并取极限,方程式(4)可简化为:

式中,代表x的现在和未来水平的现值。

也就是说,如果在时间t现存的债务比率等于现在和未来原始盈余的贴现值,那么,政府满足其跨时预算约束,而且最终免于举债度日。方程式(5)表明,在时间t债务比率是正的情况下,将来必须要有原始盈余(t-g>0)。但需要注意的是,预算赤字的计算通常包括债务的利息支付。这样计算出来的长期正赤字不一定导致偿还能力问题。

为了说明这一点,假定税率t和支出比率g不变。根据方程式(5),债务比率bt应当等于(t-g)/(r-n),且不随时间的推移而变化。此外,在这种情况下,按传统方法计算的赤字比率即g-t+rb等于nb,一般来说它是正的。

方程式(5)首先评价债务政策的规范性基准。

例如,在条件式(5)成立的情况下,现在的收支预算可以用来计算现在的财政计划是否随预期经济变化而可持续。倘若右式(按现行计划计算)低于债务比率现值,那么,这种债务比率在长期是不可持续的。在这种情况下,为了使财政计划与方程式(5)相一致,在将来必须要采取措施消除这种差额。

一些可能的措施包括利用通货膨胀以减少债务的实际价值,或者出台以前没有过的一次总付税,或者拒付债务。当然,还有一些其他可供选择的措施,诸如提高税率,或者削减政府支出。

利用这种跨时预算约束可以深入了解政府的净财富状况。净财富w可以认为是政府将来全部净所得的现值。这样,如果净财富增加,政府增加支出g或降低税率t的余地越大。

假定f=r,从而公共部门的资产按照其市场价值估价,那么,政府的净财富就可以写成:

可以看出,净财富增加可能是由于增加资本存量价值的投资政策所致。显然,在预算约束式中,与这种政策联系在一起的支出不应当被看作是负项。

这个论点正是公共部门投资不一定由税收收入融资这一法则(即通称的“平衡预算的黄金律”)的主要诱因。然而,在应用净财富这个概念时,会存在著一些问题。

其中一个明显的问题是公共部门资产的收益率难以计算。比如,一条公路变得拥挤之后,结果会产生负外部效应。如果增加这条公路的投资不用税收而用公债来融资,那么,政府的净财富状况也许会恶化,因为在校正这种外部性时后者会发生成本。显然,在这种情况下,倘若这种外部性在投资之时就已预见到,倘若政府仍要保持这种净财富状况,那么,这条公路的投资至少部分用增税而非债务来融资。

此外,有些不被看作是公共部门资产投资的政府支出很可能会导致以后各代人的效用提高,以致他们愿意支付比现在要高的平均税率。例如,在福利支付制度下,鉴于这种制度具有保险特征,纳税人即使不是受益人,纳税人对它的估价也是正的。又如打算建造一座公园。这座公园也许被将来一代人所用和估价,这一代人可能愿意以支付利息的融资方法筹措资金,并以增税方式弥补公园的折旧。在这些情况下,债务融资是可行的,因为尽管(非投资性)支出增加了,但将来税率的提高不会使政府的净财富状况改变。所以,在实践中,确定现在的政府支出对净财富的影响也许是可能的,但非常困难,因为公共部门投资的收益率具有不确定性,将来一代人在多大程度上认为这种(非投资性)政府支出是值得的也具有不确定性。

上述评论涉及到跨时预算约束可以用来评价财政政策措施的方法,同时还涉及到政府举债是否受诸如条件(5)式的实际限制。注意,依据(5)式得到的横截性条件(即随著T→∞,[(1+n)/(1+r)]Tbt+T→0)是一个弱条件。

据认为,实际债务比率持续提高,但增长率低于r-n。随著实际政府债务的增长,部分利息支付可以加到债务上。

换言之,并非全部利息支付都要由原始预算盈余来融资。可是,我们有时也会看到,在实践中,利息支付比率持续提高在政治上不能接受,总有一天要限制债务比率的提高。

这种要求的一种可能的原因也许是:与方程式(5)相一致的债务政策不一定是可行的,因为它可能导致长期税率太高。在这种情况下,条件式(5)应当辅之以如下条件,即名义未偿债务与将来的税收能力保持同步(Kremers,1988,p.259-262)。所以,,其中t*是税收能力的某种外生上限。另一个更加严格的必要条件是以下列条件取代横截性条件:债务比率本身随著时间的推移而下降。

这些限制条件的经验检验表明,只有传统的横截性条件不能摈弃(Hamilton and Flavin,1986,p.808-819;Kremers,1988)。

换言之,不断上升的债务比率并不表明政府无偿还能力。这一结论似乎与我们所看到的西方国家政治上要求稳定甚至降低债务比率的现象相矛盾。

在很多规范模型或实证模型中,一般都利用了无限期界内的跨时预算约束,故方程式(5)就是这种重要的约束条件。

如上所述,这种以其最弱形式出现的约束条件意味著,至少一部分债务必须通过产生原始盈余来偿还。可是,由于这种预算约束涉及到无限期界,故这种盈余必须出现的具体时间事先并不清楚。

显然,将来的预算政策以及在这方面的预期是十分重要的。

倘若行为主体具有完全的预见性,并在一定程度上知道预算赤字的各种可能情况,(福利最大化的)政府的偿还能力就可以彻底确定。倘若不存在这种完全预见性,那么,政府的偿还能力取决于行为主体对世界的可能状态的看法。但另一方面,只要私人行为主体认为政府应当受到约束,政府就应当在其债务政策受到限制。

所以,问题最终可归结为对政府的信任。

总之,在评价债务政策的限制条件时,最重要的是各代人的政府债务可持续性的预期。

换言之,方程式(5)事先是否成立,取决于对政府在需要偿还债务时将来能产生原始盈余的信任。而且,这种信任在一定程度上是由政府确保其支出收益率的声誉所决定的。不过,如果在有关政府债务效应的理论观点中,债务政策的限制在起作用,那么,限制条件式(5)就被看作是分析的起点。

3.政府债务的效应

3.1 李嘉图学派的观点

为了考察政府债务的经济效应,我们先从由巴罗(Barro,1974,p.1095-1117)复兴起来的李嘉图学派观点谈起。

现在人们通称的“李嘉图等价定理”表明,以发债取代征税对于经济的实际状况和发展来说没有任何差异。

就既定的政府支出路径而言,因减税形成的赤字财政必然会导致将来的税收增加,其现值与最初的减税相同。这一点可以从上述的政府预算约束中看到。消费单位把其现在和将来税收的预期份额的现值从其现在和将来收入的预期现值中扣除,确定他们的净财富状况,这是在生命周期框架下其消费路径的决定因素。

由于预算赤字取代税收不改变现在和将来税收的现值,只要政府支出的现值保持不变,就不会影响消费单位的一生预算约束,因而也就不会影响他们的消费路径。由此可知,减税增加了现在的可支配收入,而可支配收入的增加导致了等量的私人储蓄增加,私人储蓄的增加又恰好抵消了减税造成的政府储蓄的减少,国民储蓄最终没有受影响。

倘若国民储蓄不改变,就没有理由说实际利率发生变化,投资也不会受影响,也无需向海外借债。就公债出售给外国人而言,这会导致国内储蓄出现盈余,这部分盈余将流向海外,购买外国有价证券,最终净资本内流为零(Mutoh,1985,p.369-372)。因此,这对汇率和经常项目收支没有影响。

总之,商品的总需求、生产以及价格都不受影响。

然而,征税同预算赤字和盈余在时间上的矛盾对于消费路径和经济增长路径无关紧要这一命题,引起了经济学家们对各国存在的大量预算赤字问题的激烈争论。正如格来姆里克(Gramlich,1989,p.32)所言,倘若政治家认为私人家庭属于巴罗式消费者,他们就不会如此害怕税收问题。

可是,政治家们不愿意以增税方式消除预算赤字。

经济学家和政治家理所当然要关心这个问题,其原因主要有二:一是李嘉图等价定理所依据的假设条件不现实,债务和税收融资的确有不同的经济效应;二是政府支出不是外生的,征税同预算赤字和盈余在时间上的矛盾的确影响著政府支出的路径和现值。

第一个原因属于传统的经济学领域,第二个原因与政治决策程序有关。本节先假定政府支出既定,较为详尽地讨论第一个问题,有关政府债务和赤字的政治经济问题放在后面的第4节讨论。

3.2 对李嘉图学派观点的评价

李嘉图等价定理所依据的主要假设可以归结为以下几个方面(Barro,1989,p.37-54;Bernheim,1989b,p.55-72;Brennan and Buchanan,1986,p.79-92):第一,消费家庭是理性的,具有无限的计划期界;第二,资本市场是完全的;第三,将来的收入和税收份额具有确定性,是可知的;第四,税收是一次总付税;第五,发行和偿还公债的交易成本为零。

下面依次分析这些假设,评估它们的可信度,指出他们的反驳是否改变了债务与税收融资的经济效应没什么不同的结论。

理性消费者和无限计划期界 科特利科夫、萨缪尔森和约翰逊(Kotlikoff,Samuelson and Johnson,1988,p.408-412)做了一项实验,看一看处于受控生命周期框架下的个人是否能够做出前后一致的跨时消费决策,是否能够正确地估价将来的资源。即使在这种框架下,拥有全部有关信息,结果证明行为主体在他们的消费决策上还是有很明显的经常性错误:一部分人低估将来的资源,而一部分人高估将来的资源。

相对于现在的资源而言,低估将来的资源明显意味著改变征税时间但不改变征税现值的财政政策不再是中性的。现在生存的家庭认为赤字融资取代税收融资增加了他们的净财富,这些家庭通过增加现在的和计划的将来消费做出反应。

私人储蓄将增加,但不足以抵消政府储蓄的下降。实际利率被迫上扬,排挤投资和(或)促使向海外借债。

无论是在哪种情况下,将来的福利都受到不利影响。

倘若家庭的计划期界不是无限的,或者至少不是那么长(在此期界内,政府征税偿还现在的赤字融资减税所导致的债务本息),那么,其效应与上述效应相同(Blanchard,1985,p.223-247)。可是,巴罗(Barro,1974)认为,对于每个人来说,无需都有无限期界,只要家庭的上下代人通过购买力的利他主义动机的、有效的代际间转让联系在一起,李嘉图等价定理就成立。

即使每个人具有有限的计划期界,只关心他(她)自身的消费及其直系后代的福利,代际间遗赠链条也会使其家族无限存在下去。

倘若这种典型个人出于利他主义而赠与,他会对这种由政府减税赤字融资所引起的从小到老的代际转让做出反应,从老到小的自愿遗赠相应增加。效用水平、消费路径、国民储蓄等等都保持不受影响。

因此,在有限生命的迭代模型中,李嘉图等价定理成立。正如巴罗(Barro,1989)所强调的那样,代际间转让不一定很大,必要条件是基于利他主义的转让从边际角度来看是有效的;李嘉图等价定理成立的关键条件是有效的代际间转让而非有效的遗赠动机本身。

关于现在一代人和将来一代人之间的联系性问题,有人指出,并非所有人都有子女(Buiter and Tobin,1979,p.39-63)。当政府以预算赤字取代税收时,没有子女的人可能更加富有。

但巴罗(Barro,1989,p.41)对此迅速做出反应,他说这种效应会被其子女数量高于平均数的人财富下降所抵消。

关于代际间转让的利他主义动机问题,倘若遗赠是因一种偶然原因造成的,在死亡时间不确定以及缺乏完善的年金市场的情况下(Abel,1985,p.777-791),他们似乎不可能对预算赤字做出一对一的反应。

倘若赠与人不是太关心后代的福利,赤字融资减税对赠与行为和遗赠数量也有实际影响(Carmichael,1982,p.211)。有人也提出另一种遗赠动机——战略遗赠动机,即自私的赠与人利用遗赠来影响潜在受益人的行为,比如换取子女对他的关心(Bernheim,Shleifer and Summers,1985,p.1045-1076)。在这种框架下,政府引起的从小到老的转让将产生一种纯粹的收入效应;返给子女的比例很小,大多数父母仅把一生资源的很小部分用于换取其子女的关心。在所有这些情况下,转让不会一对一地对预算赤字做出反应,从而增加现在活著的一代人的净财富和消费。

经验研究结果没有为家庭成员的这种假定的利他主义动机提供证据(Bernheim,Shleifer and Summers,1985;Altonj Hayashi and Kotlikoff,1989)。

关于代际间转让应当是有效的即双向间的转让不是零(Carmichael,1982,p.202-213;Abel,1987,p.1037-1047;Weil,1987,p.377-391)的问题,首先应当指出,相同的转让动机在财政政策变化前后应当是有效的(Carmichael,1982,p.207)。转让的方向取决于个人间的偏好、跨时偏好、经济增长和利率。在稳定状态下,倘若没有转让的经济具有动态效率,即倘若实际利率高于增长率,那么,遗赠动机只能是有效的;有效赠与动机只能在动态无效率经济(即利率低于增长率)中获得。

此外还有人证明,如果利他主义的程度太弱,不会有任何转让(Bernheim and Bagwell,1988,p.308-338;Bernheim,1989a,p.119-128)。

当转让不是有效的时,征税时间的变化就会有经济影响,因为家庭成员之间的代际间税收再分配不会被私人转让的变化所抵消。现在的消费将提高,国民储蓄将下降。

关于巴罗把代际间转让看作是购买力问题,德拉珍(Drazen,1978,p.505-516)认为,表现为子女教育支出形式的转让,作用大不相同。

父母可能仅限于对其子女转让人力资本,即使这种转让是积极的。可以想象,倘若父母打算为其退休消费筹措资金,增加子女生产力的投资所产生的收益可能高于非人力资本资产。可是,无法直接获得这种收益,因为一般来说不能强加给子女任何责任。

在这种情况下,赤字融资能增加财富,使父母强加给下一代人责任,从而扩大其选择组合。

赤字融资的减税将降低物质资本的投资,但增加人力资本的投资。

总之,倘若消费者是短视的或缺乏计算技能做出前后一致的跨时选择,倘若各代人没有联系或通过家族网联系在一起,倘若遗赠是偶然的或战略性动机,倘若代际间转让不是有效的,倘若转让的形式是教育投资,那么,赤字融资将增加现在一代人的净财富,刺激消费,可能增加人力资本投资,但抑制物质资本积累。

完全的资本市场 李嘉图等价定理的第二个主要假设表明,当人们打算在不同的时间里转让收入以使其一生的福利最大化时,他们可以按政府借贷的相同利率贷出或借入。有人认为,这种假设不成立。

胡伯德和朱迪(Hubbard and Judd,1986,p.1-50)指出,消费者可能面临著流动性约束。

倘若现在收入水平很低的家庭,因没有足够的担保品而不能用将来的收入作后盾借债,就会发生这种情况。

例如,年轻的家庭还没有可能积累足够的资源作为担保品,他们预期的遗赠(如果有的话)也只是后半生才能得到。赤字融资减税可能会减轻流动性约束,增加对商品和服务的需求,或增加消费需求,或增加投资需求。

临时减税的边际支出倾向取决于受流动性约束家庭所获得的减税份额、这些家庭对资源增加平稳做出消费反应的程度以及这种预算约束的约束力度。

资本市场的影响也可以用利率来说明(Walters,1967,p.316-318;Leiderman and Blejer,1988,p.1-35)。有些家庭可能比政府和其他家庭的借债率高。对于这些家庭,以赤字融资的现行税收的削减导致将来税收增加,增加的将来税收的现值将低于这种减税。

政府举债将降低他们的实际借债率,促使他们增加现在的需求,或增加消费需求,或增加投资需求。

总之,总需求将上升,国民储蓄下降;实际利率趋于上扬,排挤没有流动性约束和借债率低的家庭的投资。

将来的收入和税收份额是确定已知的 李嘉图等价定理假定,纳税家庭完全认识到他们(及其后代)因赤字融资所造成的将来的纳税义务。不过,布坎南和瓦格纳(Buchanan and Wagner,1977)认为,税收制度的复杂性和间接性将弱化成本信号,引起财政错觉,最终会低估将来的纳税义务。

按照他们的这种说法,赤字融资的减税将增加净财富。

有人同样认为,就厌恶风险的家庭而言,对于将来纳税义务的不确定性会导致高估,从而将增加预防性储蓄(Barro,1974,p.1115)。

陈(Chan,1983,p.351-372)曾证明,在非递增绝对风险厌恶的情况下,个人税收份额的不确定性增加对现在消费的影响是负的,私人储蓄的增加超过减税。相反,如果将来的毛收入具有不确定性,将来提高所得税率将增加现在的消费。

一次总付税 尽管税收假定具有一次性总付特征,但在所得税或消费税情况下,征税时间的变化也会影响人们在不同的时期工作、生产、投资和消费等决策,从而具有扭曲效应。我们举两个例子来说明。倘若对消费征税,将来征税取代现在征税会刺激现在消费,减少储蓄。倘若对劳动所得征税,现在减税并伴随著将来税率提高也会引起跨时替代:现在多工作,增加储蓄。从这些例子显然可以看出,特定情况下的特定税收制度在决定发债对资本积累影响的程度与方向上很重要。因此,对于一次总付税的效应不能一概而论。

零交易成本 公债发行活动、为支付利息而增税的征税活动、利息支付以及债务的清偿等,无不表明会增加交易成本(Barro,1974,p.1109;Carmichael,1982,p.211)。赤字融资增加所造成的交易成本无疑形成对社会的负财富效应。

综上所述,有充分的理由认为李嘉图等价定理所依据的假设不现实。赤字融资的减税一般具有非中性的经济影响。

新古典学派和凯恩斯学派在赤字融资的影响上也持这种看法。

3.3 新古典学派的观点

新古典学派观点与李嘉图学派观点的主要分歧在于:假定人们或多或少是有远见的和理性的,但生命和计划是有限的,只是在其自身的生命周期内。

新古典学派的另一个主要假定,即假定市场是出清的,经济资源一般都得到充分利用。

戴尔蒙德(Diamond,1965,p.1126-1150)研究了政府债务在长期均衡增长状态下的结果。

按照标准理论,在这种背景下,当预算赤字把税收转移到将来一代人身上时,只要政府支出的时间路径不变,就会产生一种正的净财富效应,刺激家庭消费和私人储蓄。但如果私人储蓄不增加不足以补偿政府储蓄的降低,国民储蓄就会下降。

在封闭经济条件下,实际利率将上扬,阻碍投资。在小型开放经济条件下,这将引致资本内流,汇率升值,恶化经常性收支。这样,国内资本积累受阻,而外债负担增加,将来的生活水平无疑要受到不利影响。

至于临时赤字,有人认为,这种赤字在短期影响很小甚至作用与上述情形相反(Bernheim,1989b,p.55-72)。

其原因在于:第一,财富效应开始很小;第二,目前劳动所得的边际税率比较低会刺激储蓄,而且,后一种因素的作用可能超过前一种因素。无论如何,随著财富效应在一定时期内的累积,临时赤字最终也会排挤私人投资形成。

3.4 凯恩斯学派的观点

最后,我们来回顾一下凯恩斯学派在政府债务的经济效应上的观点。按照凯恩斯学派的观点,大量的消费者都是短视的且受流动性约束,使得现在的消费对可支配收入的反应相当灵敏。

另一个主要假设也是与新古典学派观点的主要区别,即经济资源在赤字融资之时未充分利用。于是,赤字融资减税将完全增加消费,并通过乘数扩张过程,增加国民收入。随著经济走向更高的增长路径,投资也活跃起来。

因此,适时的预算赤字被认为既增加现在的也提高将来的福利。

至于将来的债务负担,依斯纳(Eisner,1989,p.74)曾说,将来如果增加税收的话,较高的将来收入足以应付了。

但必须指出的是,事情并非那么简单。

布兰查德(Blanchard,1984,p.7-27)曾经考察了如下情况,即赤字随著时间的推移缓慢增加而不是突然增大。当期的初始财政刺激很小,但预期主见变大,从而使以后的短期实际利率很高。

结果,长期利率上升,导致总需求下降。

在这种情况下,临时性的财政扩张对产出影响不利。

3.5 债务政策的规范性分析

从规范的观点来看,上述各种观点的经济政策含义十分不同。例如,倘若按照李嘉图学派的观点,债务中性存在,那么,债务政策无需解决代际间公平问题。

倘若政府支出路径既定,税收是扭曲性的,在这种情况下,具有无限期界的、面临跨时预算约束式(5)并试图使跨时无谓损失最小化的社会计划者,在将来的所有时期都应保持税率不变。这正是著名的税收平稳化模型(Barro,1979,p.940-971),倘若货币因素起作用,通货膨胀也应平稳化(Mankiw,1987,p.327-342)。令gp代表政府支出比率的长期值,其贴现值与实际政府支出比率的贴现值相同:

(6)

根据跨时预算约束式(5)可得,长期税率应当等于政府债务的利息支付(考虑经济增长因素n),加上实际人均政府支出的长期值gp,即tp=(r-n)bt+gp。结果,偏离长期水平的政府支出差额应当由(正的或负的)债务创造所吸收,即△bt=gt-gp。因此,在政府支出临时很高的情况下,比如在战争时期,就应当用债务融资,而在正常时期,这时gt<gp,应当偿还部分未偿债务。

税收平稳化模型描述了未偿债务的变化方向,但没有给出其最适水平。

实际上,只要李嘉图等价定理成立,债务比率增长率低于rn,既定的债务比率可由可行的原始盈余来维持,那么,债务的任何长期水平都能维持。实际债务政策的寓意是:财政政策(包括削减政府支出)不能以“太高水平”的债务比率来推动。

相反,按照税收平稳化模型,这种论点在因果关系上正好颠倒过来;只有相对于税收比率长期值的支出比率水平过高才能推动这种削减。

倘若政府愿意事先运用税收平稳化,就可能打算偏离其预期最适政策,亦即鉴于时间不一致问题,公布的政策不一定可信。换言之,当正常时期到来时,对政府来说,偿还其部分名义未偿债务不一定是最优的。特别是在此时,从福利观点来考察,拒绝清偿债务也许更有利。

拒绝清偿债务可以采取如下形式,如通货膨胀税、纯粹拖欠或征收一次总付税(如资本税)。

有关文献对时间一致性和拒绝清偿问题进行了大量讨论。例如,如果公布的税收平稳化政策不可信,那么,在不景气时期要求发行债务的最优政策不能实现。特别是如果债务可以部分拒绝清偿,如果债券持有者对这种拒绝清偿有理性预期,那么,有债券存量的均衡不一定可能。

此外,有拒绝清偿的均衡也许存在,但这些均衡比没有拒绝清偿情况下的福利低。所以,公布的税收平稳化政策是否将导致最大社会福利,在很大程度上取决于纳税人对政府将来措施的预期。

按照新古典学派的观点,债务融资具有财富效应。正如在上述分析中所看到的那样,由于债务意味著代际间再分配,这些财富效应将出现。

特别是如果政府债务被认为是净财富,而且r>n,那么,在保持债务比率不变的同时,债务融资取代税收融资意味著债务创造之时的这一代人获得净利益。

可是,在将来,税收必须要提高,以保持债务比率不变,因而将来一代人遭受损失。在封闭经济或充分就业的开放经济下,一般均衡效应也不利于将来一代人的效用水平。这些结果表明,在稳定状态下,一生效用将低于政府债务存量比较高时的效用。

在动态效率r>n情况下,债务比率变化意味著某些人将获益,而牺牲了其他人的利益。只有不导致代际间再分配的帕累托最优政策才是一种债务比率不变的政策。

上述论点与债务创造有关,但保持政府支出不变。可是,倘若债务创造使政府支出增加,而保持税率不变,在有市场失灵的情况下,帕累托改进可能会实现。例如,在个人投资者面临著流动性约束的情况下,为人力资本投资融资可能会改善福利。

综上所述,按照李嘉图学派的观点,在保持税率不变的情况下,债务创造将提高福利,不会产生代际间转让。

按照新古典学派的观点,债务创造伴随著减税(或增加转让支付)不会提高福利。按照凯恩斯学派的观点,在资源没有充分利用的情况下,政府债务的(临时)创造会推动经济达到一种较高的福利水平。

在这种情况下,比如增加对现在活著的一代人转让,可能是一种福利改善工具。

从经验观点来看,值得注意的是政府在其债务政策上实际采用了哪种观点。

在大多数西方国家,债务比率自第二次世界大战之后一直持续下降,这种趋势直到1973年为止。可以说,在这一时期,各国政府采用了税收平稳化战略。

可是,这一时期的特点是增长率较高(n>r),在这种情况下,即使基本预算一直有赤字,但较高的初始债务比率会自动地向下趋近于某一常数值。而且,与税收平稳化模型的规定相反,税率在此时期稳定提高。1973年之后以及在整个80年代,债务比率一直上升。

在此期间,由于石油价格的急剧上升,经济结构发生了某些变化。

在这种情况下,税率应当提高或政府支出削减,以便债务比率保持在其既定的长期值上。实际上,各国政府在80年代所做的是稳定平均税率,并向选民承诺政府支出比率会被削减到足以至少使债务比率不变的程度。

可是,政府支出比率却一直在上升(Roubini and Sachs,1989,p.903-938)。不过,这种承诺似乎表明,政府在此时期或多或少地倾向于追求保持既定的债务比率的新古典学派政策。

税收平稳化模型表明了政府债务的变化方向,但没有确定要达到的债务水平。政府的累积债务充其量是其历史值,而重要的问题是实际政府支出比率是否偏离其长期值,这给通过计算结构性政府支出gp确定最适财政政策加重了负担。

即使政府愿意利用税收平稳化,但在确定gp时也困难重重,因为这需要知道将来一代人对(比如)理想的政府部门相对规模的偏好。除此之外,也很难讲清政府支出增加是否就是结构性的。

从更加实证的观点来看,李嘉图学派的观点和新古典学派的观点有利于在短期政治上有吸引力的措施。例如,在税收平稳化模型中,为了避免必要的增税,试图把即使属于长期的政府支出增加公布为临时增加。在新古典模型中,如果债务比率的稳定是政策目标,重新定义债务比率,不把政治上可行的支出包括在内,即使这些支出不为将来一代人提供收益率。

这为制定非帕累托改进代际间再分配创造了机会。

讨论到现在,我们清楚地看到,最适财政政策在实践中的应用是十分有限的,尤其在结果取决于跨时预算约束的情况下更是如此。这种预算约束在很多规范模型和实证模型中起关键作用。由于这种预算约束涉及到无限期界,故原始盈余的产生一般会拖延很长时间。我们事先还不清楚这种预算约束在何时被破坏,何时未被破坏。根据上述分析可知,政府的清偿能力不仅取决于当期的预算状况,而且还取决于将来的财政政策。倘若行为主体具有完全的预见性,并且知道各种可能的预算状况将何时出现,那么,(福利最大化的)政府的清偿能力就能完全确定下来。倘若不存在完全的预见性,那么,政府的清偿能力取决于行为主体对可能的世界状况的看法。然而,只有在私人行为主体认为政府应当受到限制时,政府才在其债务政策上受到限制。

换言之,问题可归结为政府的可信度。在评估债务政策时,最重要的各代人对政府债务可持续性的预期。

即使政府试图认真地追求最适财政政策,但是,这种政策是否是可持续的和可信的,一切都掌握在行为主体的预期之中。这种论点将直接导致一种规则,即规定预算应当是平衡的。

可是,现在活著的一代人不一定因债务创造而发生利益冲突,人们可能对这种制度性规则是否得到支持表示怀疑。当然,为了回答这个问题,就需要用实证模型来描述和评估财政政策,这正是第4节讨论的主题。

3.6 进一步的总结

根据上述讨论,我们得到下列结论以及对政府债务和赤字的某些重要问题的进一步评论。

(1)上述三种观点表明,赤字融资减税对消费、储蓄、投资、产出以及现在和将来一代人的福利没有影响、正的影响、负的影响,最终取决于一系列因素。

在某些情况下,诸如有限期界、短视、偶然的(或战略性动机的或无效的)遗赠、流动性约束、代际间人力资本转让以及不确定的未来收入流量等,赤字融资减税将增加现在活著的一代人的净财富。可是,对这种净财富的影响也可能是负的,例如因为将来税收归宿的不确定、发行和偿还债务的非零交易成本以及税率随时间变化而导致的超额税收负担增加。

一般而言,净财富与当期消费变动的方向相同,但不总是相同。倘若比如对消费征税,税收从现在一代人转嫁到将来一代人身上,可能会增加超额负担,减少净财富;总而言之,跨时替代将促使当期消费增加。

同样,当期消费与国民储蓄变动的方向相反,但并非一定相反。例如,在对劳动所得征税的情况下,工作和储蓄都因税收向将来一代人转嫁而受到鼓励。倘若经济资源没有得到充分利用,总需求增加也许增加产出和收入,但同时也会刺激储蓄和投资。

从物质资本积累将受到阻碍以及外债负担增加这个意义上说,将来一代人的福利将受到不利影响。但是,如上所述,投资也能产生积极的刺激;赤字融资减税也许减轻人力资本投资的限制。

因此,有关赤字融资的经济效应,理论界众说纷纭。巴罗(Barro,1989,p.37-54)和伯恩黑姆(Bernheim,1989b,p.55-72)曾就预算赤字效应的经验研究进行了总结,结论是从现在的证据来看,很难得到定论。不过,大量的证据都不利于李嘉图等价定理,认为赤字融资的确具有实际影响。

(2)在讨论政府赤字的经济影响时,重要的是要考察这些赤字的缘由(Buchanan and Roback,1987,p.5-25)。

特别是,倘若预算赤字是因为政府支出增加所致,这种赤字的总效应被认为由两部分构成,即为了弥补额外支出现在增税的效应加上赤字融资引起的税收跨时转移至将来一代人的效应。

关于第一种效应,增税显然会产生额外超额负担,必定对可支配收入产生负效应。第二种效应取决于一系列因素,包括在(1)中提到的那些因素。

倘若第一种效应完全决定对私人消费的总效应,那么,这种效应是负的;相反,倘若赤字融资减税完全被认为增加净财富,那么,这两种效应相互抵消,最终使消费保持不变。

此外,政府支出的类型也非常重要(Kormendi,1983,p.994-1010)。倘若赤字融资的政府支出用于与私人消费品相互取代的消费品上,私人消费的减少将会很大。倘若政府支出用于与私人消费互补的物品上,或者用于取代私人投资的投资项目上,对私人消费的负效应就比较小。

还应当指出,对将来财政形势的判断也不能忽视(Feldstein,1982,p.1-20;Leiderman and Blejer,1988,p.1-35)。赤字融资的当期政府支出增加传递著未来情况的各种信息。

倘若随著时间的推移,认为赤字理所当然地不会持续,那么,就会预期将来赤字会缩减。可是,这通过削减支出还是增加税收以及什么时候实现,尚不得而知。

这种政策形势的不确定性极大地影响著私人部门的消费、储蓄和投资格局。

(3)当期赤字融资的效应要与已经存在的公债的效应区别开来。公债偿还意味著增加政府支出,这必然要以增税或增发公债来弥补。倘若偿还债务不导致现在增税,也不认为会增加将来的纳税义务,那么,公债将被看作是净财富,随之而来的效应便是刺激私人消费和储蓄,但提高利率,抑制投资。

随著时间的推移和债务期限的逼近,这种效应逐渐变小。

(4)根据上述讨论的赤字融资的经济效应,可以看出,债务和赤字具有若干功能:

第一,赤字融资意味著征税的跨时转移。倘若比较适时,它可能有两种积极的结果:首先,在一定时期内,税率变化可以平稳化,降低征税的超额负担(Barro,1979);其次,它有助于财政稳定政策的实现。

第二,征税的跨时转移意味著代际间转让,税收转嫁到将来一代人身上。

征税的跨时转移将引起行为反应,使人们试图逃避将来的征税。倘若社会中的不同阶层反应不同。那么,征税的跨时转移可能会在这些阶层当中转嫁税收负担。

第三,赤字融资可能减轻流动性约束,起到资本市场的媒介作用。

这种功能会发挥多大程度的作用取决于这种减税是落在受流动性约束的家庭还是不受流动性约束的家庭。

第四,赤字融资提供给经济以政府债务流通票据,作为流动性资产使用(Woodford,1990,p.382-388)。

第五,赤字融资放宽了对人力资本投资的约束,同样,也放宽了政府投资项目的约束,因为税收负担转嫁到获取其利益的那一代人身上。

(5)从第3.5节讨论的规范理论含义可以看出,这些功能的评价会有所不同,取决于人们所持的观点。

例如,按照新古典学派的观点,鉴于债务创造的实际效应,税收平稳化不一定改善福利。

(6)从前面提到的功能来看,政府赤字对社会中的不同阶层(无论是现在的还是将来的)可能具有不同的影响,所以,研究一个典型家庭也许会得到十分错误的结论。在对政府债务和赤字的最适水平进行规范分析时,这一点必须牢记。

4.公债的实证理论

4.1 基本问题

人们越来越认识到,在研究政府政策时,离不开政治决策者的行为。即使注意力没有集中于实际政策的解释而是最适政策的推导时,政治行为也应予以考虑,以便使政策建议合理可行。本节将简要考察公债政策的实证理论分析。

公债政策的行为理论要求至少对下列情况做出假设:(1)政治决策所涉及的行为主体;(2)这些行为主体的偏好或利益;(3)这些行为主体对环境的认识,特别是对经济与政策及其相互关系的认识;(4)社会相互作用的过程,通过这一过程,这些行为主体的利益转变成某种特殊政策。

乍一看,确定政治决策者及其偏好似乎比较简单。在代表民主制中,现职政治家可以分辨出来(在直接民主制下即选民),而他们的个人偏好可能与他们现在和将来的对(市场和非市场)物品和服务的消费有关。但是,深思之后发现,事情还是比较复杂的。首先,政治家(选民)也可以从其他行为主体的利益实现或附属于其他社会地位的利益实现中获得效用,其原因很多。这也许是由于固有的利他主义,也许是由取得其他某人的地位(流动性或保险动机)的正的主观概率引起,或者因同时不只拥有一种社会地位(多种地位)所致。

在下文中,把关心他人利益的这些动机统称为“面向他人属性”(other-directedness)。其次,在政府政策的制定过程中,其他行为主体并不是默默无闻的跟随者,在现实中有发言权,因而政府政策最终是不同的参与者当中的游戏结果。在政府或国家组织之内,支出部门(财政部)和中央银行的官员具有举足轻重的作用。

在这种组织之外,还应当考虑政党、选民以及利益集团(甚至从国际角度来讲的其他国家政府)。

来自其他这些行为主体的压力可能导致政治家在其决策中似乎自愿接受的内在化准则(某种既得利益)。最后,从上下文中可以看到,在政治领域里,行为主体的行为不是出于其纯粹的个人利益,一般与社会参照群体中的典型个人的利益(偏好)相一致。其原因在于,纯粹的个人利益一般保持不了足够的政治实力。

对环境的认识关系到行为主体利用的政治和经济模型,而行为主体所利用的模型不一定完全一致(Frankel and Rockett,1988)。这些模型表明了有关的政策工具和约束条件。

至于后者,不仅传统预算、时间期界以及生产技术的约束在此非常重要,而且,行为主体对经济运行和政策措施运行状况的看法也很重要。此外,还应当指出,行为主体需要哪种信息以及预期是如何形成的。在构建模型时,要正视完全预见性、理性预期和战略行为假设与短视、适应性预期和非战略性行为之间的区别。

最后,如上所述,信息不一定是对称的。

讨论公债实证理论的有关文献通常分为源于不同经济理论领域的两类研究。第一类研究由布坎南(Buchanan,1958)开创,称之为公共选择方法。第二类研究根植于经济政策理论,源于丁伯根(Tinbergen,1952,1956)著作,特别是考虑了理性预期和时间一致性问题的现代发展。

这类文献称之为宏观经济政策理论方法。

4.2 公共选择方法

这种方法的最核心的特征是政治决策应用了方法论上的个人主义假设和人是自私自利的、理性的效用最大化者这种基本行为假设(Mueller,1989)。

传统上,布坎南等经济学家(Buchanan and Wagner,1977;Crain and Ekelund,1978,p.813-828)研究政府预算赤字的起因,主要观点是人们对财政的认识是有偏的(财政错觉)。倘若不具有完全预见性,他们很可能低估与债务融资有关的成本。

而且,据认为,因生命有限,公债负担不会完全由现在一代纳税人承担(Buchanan and Roback,1987,p.5-25)。克雷恩和埃克朗德(Crain and Ekelund,1978)发展了这种观点,即现在一代人的债务融资负担是不同的,取决于清偿债务的税收是落在人力资本上还是非人力资本上。

虽然对非人力资本征税很可能被完全资本化,但对人力资本所得征税并不一定如此,因为偿还债务的责任不能超出期限。这降低了政府提供的物品和服务的(平均)可知价格。

选民对此会做出反应,很可能会增加他们对这种提供的需求。总而言之,这些经济学家提出的论点会促使参与再次竞选的政治家实施预算赤字。

对于这些论点,尽管有一些间接的经验支持(Niskanen,1978,p.591-602;Shughart and Tollison,1986,p.218-235),但是,总体上证据还是没有说服力的(Gandenberger,1986,p.205-216)。

除此之外,前面提到的那些人的研究并没有令人满意地解释在过去的许多年里赤字为什么没有出现。

在这个问题上,一个决定性的影响就是“哲学变化”,即凯恩斯学派经济观点的出现与传播,凯恩斯革命影响了政治家和公众的思想。除了这种“哲学变化”之外,克雷恩和埃克朗德(Crain and Ekelund,1978)还指出了另外两个因素来解释现代预算赤字出现的原因。第一,在20世纪,税收收入来源结构的变化导致人力资本作为税基的相对重要性显著提高;第二,黄金与货币供给之间的联系被切断,为通货膨胀税作为一种税提供了便利条件。

上述的各种研究缺乏严密的正规分析。

在公共选择传统中,明确讨论公债问题的第一个正规的政治经济模型似乎是所谓的政治周期模型。

在这类模型中,政治家为了保证重新当选,通过操纵宏观经济变量而造成一种经济活动周期。在开创性的诺德豪斯模型中(Nordhaus,1975,p.169-190),政治家在大选之前过分刺激经济,而在大选之后为减轻通货膨胀而引起衰退。在以后的许多经验研究中,还注重其他一些变量,诸如政府的消耗性支出、转移支付和税收等。

就我们目前讨论的主题来看,这些研究的最重要的思想是:预算赤字在大选前预期将增加,因为公共支出很可能会增加和(或)税收降低。还有一些研究直接针对的是公债,结论是认为这种债务政策周期存在(Baber and Sen,1986,p.201-215;Laney and Willett,1983,p.53-69)。此外,有些理论和经验证据表明,中央银行迁就了政治动机的预算赤字(Allen,1986;Buchanan and Wagner,1977;Frey and Schneider,1981;Laney and Willett,1983)。然而,从总体上看,有关政治经济周期的经验证据并不能足以做出下列结论:这类行为是民主政府的一般特征(Mueller,1989,p.286;Haynes and Stone,1989,p.426-434)。

此外,这些研究无助于解释在大选期间持续出现的结构性预算赤字。

冯·维尔瑟文和冯·文(van Velthoven and van Winden,1990,p.128-161)提出了一个考虑的这种结构性赤字的公债的政治经济模型。

该模型利用了所谓的政治决策的利益函数方法(van Winden,1983),重点研究不同利益集团(资本所有者、私人部门的工人、政府雇员以及受扶养者)的政治影响。利用对策论框架,政府行为与复杂的利益函数最大化相一致。

令私人部门的变量既定,使所得税和发行债券的收入最大化,满足跨时预算约束。给定政府的时间期界(由利益集团的时间期界决定),过去累积下来的公债水平既定,在该时间期界末的债务水平既定,那么,政府赤字就是由利益集团的时间期界和时间偏好、他们对共用品消费和可支配收入的偏好以及他们的政治影响所决定。可以证明,预期经济增长率越高、利率越低、时间期界越长,政府赤字越大。政府的时间期界超过利益集团的时间期界越长,政府赤字就越趋于扩大。

此外,由于各利益集团的时间偏好因其持有的人力财富与非人力财富的差异而不同,故政治影响结构的变化也将影响预算赤字。

上述的政府行为模型是非战略性的,而且在这一点上与前面讨论的政治经济周期模型有所不同。而且,它没有形成完整的私人部门模型。有些经济学家通过利用利益函数方法,将政府行为内生化于开放经济的IS-LM模型之中(Borooah and van der Ploeg,1983)。

一个比较复杂的政府利益函数决定了作为政治影响结构函数的政府(消费性)支出占产出的比例。在中期,面对赤字占产出的比例,政治家可以操纵税率,以确保重新当选。

倘若投票行为是短视的,而且在选民当中各利益集团没什么分别,那么,可以证明,预算赤字比率在选举时期将上升,在选举之后将下降。

法斯本德(Fassbender,1981,p.153-167)曾经通过引入政策反应函数,把布林德-索洛的IS-LM模型变成政治经济模型。

这一模型假定政府操纵其工具变量(消耗性支出或所得税税率),取决于政府得人心的程度,而政府得人心的程度又取决于经济状况。

因此,因预算约束,预算赤字(或用货币创造融资或用发行公债融资)是内生决定,而且是政府得人心的函数。重点在于该模型的稳定性或不稳定性。赤字只是在均衡之外发生。

假如政府得人心的程度(外生)下降,预算赤字将出现。这种方法的主要缺陷在于,没有给定政府政策的令人满意的行为根据。此外,很明显,赤字融资的(未来)成本没有考虑在内,而且,发行公债与货币创造之间也没有作任何区别。

在上述讨论的模型中,没有明确地说明公债的跨代问题。

沃本(Verbon,1990)在一篇文章中曾强调过这个问题,他假定代表典型工人利益的决策者考虑了代际间转让制度(包括公共养老金制度)与政府赤字之间的关系。这种典型工人假定具有利他主义精神,其行为有利于老年人和未来一代人。在这种政府行为模型之下,研究了转让制度的人口统计变化对税率和公债数量的影响。从他的这项分析中似乎可以看出,按照利他主义的决策者假定,在人口统计变化时期,债务持续增加和持续减少时期可能交替出现。

4.3 经济政策的宏观经济理论方法

如上所述,这种方法起源于现代经济政策理论,尤其是强调时间一致性问题和理性预期;同时,这种方法还非常注意决策者之间相互作用、决策者与私人部门(选民)之间相互作用的对策理论。阿莱斯纳和塔彼利尼(Alesina and Tabellini,1988,p.542-550)提出了时间不一致性的若干政治原因。有些原因与选举程序的性质有关,有些原因则与连届政府的特点有关。在下文中,我们首先探讨前者,可以发现有关政治经济周期和预算赤字出现的观点不同。

随后,我们分析时间不一致性的后一种原因以及某些公债理论。

在政治竞争模型中,当选民方面的不完全信息促使政治家偏离最适政策时,选举程序将造成时间不一致性。在传统的唐斯模型中(Downs,1957),这一般来说是中位选民偏好的政策。公共选择对向后看的短视选民的通常假设,激起追求选票的政治家在大选之前偏离这种最适政策,因而造成前面所讨论的(次优)政治经济周期。

经济政策的宏观经济理论方法批评了这种依据理性预期观点建立的模型,但这并不意味著政策周期不会发生。正如有些经济学家所说,决策者与选民之间的不对称信息会导致“政治预算周期”(Cukierman and Meltzer,1986,p.367-388;Rogoff and Sibert,1988,p.1-16)。在罗格夫和希伯特模型中(Rogoff and Sibert,1988),决策者在选民投票之前观察到一个表明其能力的指标。由于假定能力与时间相关,则追求选票的现任者就会在大选之前表明其很高的能力。

这导致政府政策的选举周期。

在该模型中,这表现出在大选之前课税较低而扭曲性铸币税较高,而其不利的经济效应在大选之后才能发觉。

然而,需要注意的是,在其他变异模型中,政府支出也会部分调整,而且可以发行债券为赤字融资;关于预算赤字,以前考察的政治经济周期模型与这种“理性的”政治预算周期模型在含义上是类似的。

在“理性的”罗格夫-希伯特模型以及“非理性的”诺德豪斯模型中,所有决策者都具有相同的动机这种假设显然不很现实。

该假设在“党派理论”(partisan theory)模型中得到放宽,这类模型强调政治家(党派)之间的思想差异或选区利益差异是政府赤字的决定因素(Hibbs,1977,p.1467-1487;van Winden,1983;Wittman,1977,p.180-189)。但需要注意的是,如果向前看的选民对这种思想差异或利益差异了如指掌,那么,在这些模型中属于最适的政府政策也具有时间不一致性。不过,政策周期在“理性党派理论”模型中也会发生,这不是财政政策很重要(即使在理性预期的情况下),就是因为选举结果具有不确定性(Alesina,1987,p.651-678)。

除了选举程序之外,时间不一致性也会因政府的更替而出现。倘若执政党看到很可能被将来在利益上不一致的政党所取代,就会利用状态变量(state variables)影响其继任者的政策选择。为此目的,一个备选的状态变量就是公债(Alesina and Tabllini,1990,p.403-414;Persson and Svensson,1989,p.325-345)。

在皮尔森和斯文森(Persson and Svensson,1989)模型中,现任政府确切地知道将被新政府所取代。该模型的特征是具有确定性、一个典型消费者,并假定债务将在第二时期全部偿还,考察的是由两个时期构成的小型开放经济。如果保守党(自由党)政府在第一时期所偏好的公共消费水平比较低(高),那么,(a)公共消费水平处于这两届政府执政时所选择的公共消费水平之间,(b)保守党(自由党)政府比在两个时期可能执政情况下借债更多(更少)。

因此,该模型的结论是,保守党政府可能会使预算发生赤字,而自由党政府可能会使预算出现盈余。

在阿莱斯纳和塔彼利尼(Alesina and Tabllini,1990)模型中,各届政府对两类共用品的偏好而非共用品消费水平的偏好不同。该模型分析得到结论是:各届政府的偏好分化程度越大,本届政府未被重新任命的可能性越大,本届政府以某种方式被限于提供最低水平的每类共用品的可能性越大,均衡债务就会越大。

。【参考文献】:

李嘉图等价定理(Ricardian Equivalence Theorem)

公债的资产效应(Assets Effects of Public Debt)

公债的总需求效应(Aggregate Demand Effects of Public Debt)

Abel, A. B., 1985, Precautionary Saving and Accidental Bequests,American Economic Review 75.

Abel, A. B., 1987, Operative Gift and Bequest Motives,American Economic Review 77.

Alesina, A., 1987, Macreconomic Policy in a Two-party System as a Repeated Game, Quarterly Journal of Economics 102.

Alesina, A. and G. Tabellini, 1988, Credibility and Politics,European Economic Review 32.

Alesina, A. and G. Tabllini, 1990, A Positive Theory of Fiscal Deficits and Govemment Debt, Review of Economic Studies 57.

Allen, S. D., 1986, The Federal Reserve and the Electoral Cycle, Journal of Money, Credit and Banking 18.

Altonji, J. G., F. Hayashi and L. J. Kotlikoff, 1989, Is the Extended Family Altruistically Linked? NBER Working Paper.

Baber, W. R. and P. K. Sen, 1986, The Political Process and the Use of Debt Financing by State Governments,Public Choice 48.

Barro, R. J., 1974, Are Government Bonds Net Wealth? Journal of Political Economy 82.

Barro, R. J., 1979, On the Determination of the Public Debt, Journal of Political Economy 87.

Barro, R. J., 1989, The Ricardian Approach to Budget Deficits, Journal of Economic Perspectives 3.

Bernheim, B. D., 1989a, Intergenerational Altruism, Dynastic Equilibria and Social Welfare, Review of Economic Studies 56.

Bemheim, B. D., 1989b, A Neoclassical Perspective on Budget Deficits,Journal of Economic Perspectives 3.

Bemheim, B. D. and K. Bagwell, 1988, Is Everything Neutral? Journal of Political Economy 96.

Bernheim, B. D. , A. Shleifer and L. H. Summers, 1985, The Strategic Bequest Motive, Journal of Political Economy 93.

Blanchard, O. J., 1984, Current and Anticipated Deficits, Interest Rates and Economic Activity, European Economic Review 25.

Blanchard, O. J., 1985, Debt, Deficits, and Finite Horizaons, Journal of Political Economy 93.

Borooah, V. K. and F. van der Ploeg, 1983, Political Aspects of the Economy, Cambridge University Press.

Boadway, R. and D. Wildasin, 1993, Long Term Debt Strategy: A Surey, in H. A. A. Verbon and F. A. A. M. van Winden, eds. , The Political Economy of Government Debt.Elseier Science Publishers B.V.

Brennan, H. G. and J. M. Buchanan, 1986, The Logic of the Ricardian Equivalence Theorem, in J. M. Buchanan, C. K. Rowley and R. D. Tollison, eds., Deficits, Basil Blackwell.

Buchanan, J. M., 1958, Public Principles of Public Debt,Irwin.

Buchanan. J. M. and J. Roback, 1987, The Incidence and Effects of Public Debt in the Absence of Fiscal Illusion, Public Finance Quarterly 15.

Buchanan, J. M. and R. E. Wagner, 1977, Democracy in Deficit, The Political Legacy of Lord Keynes, Academic Press.

Buiter, W., 1990, Principles of Budgetary and Financial Policy,Harvester Wheatsheaf.

Buiter, W. and J. Tobin, 1979, Debt Neutrality: A Brief Review of Doctrine and Evidence, in G. M. von Furstenberg, ed.. Social Security Versus Private Saving, Ballinger.

Carmichael, J., 1982, On Barro' s Theorem of Debt Neutrality: The Irrelevance of Net Weath, American Economic Review 72.

Chan, L.K.C., 1983, Uncertainty and the Neutrality of Government Financing Policy, Journal of Monetary Economics 11.

Crain, W. M. and R. B. Ekelund, 1978, Deficits and Democracy, Southern Economic Journal 44.

Cukierman, A. and A. H. Meltzer, 1986, A Positive Theory of Discretionary Policy, the Cost of a Democratic Government, and the Benefits of a Constitution, Econorni Inquiry 24.

Diamond, P. A., 1965, National Debt in a Neoclassical Growth Model,American Economic Review 55.

Downs, A., 1957, An Economic Theory of Democracy, Harper & Row.

Drazen,A.,1978,Government Debt,Human Capital, and Bequests in a Lifecycle Model, Journal of Political Economy 86.

Eisner, R., 1989, Budget Deficits: Theoric and Reality, Journal of Economic Perspectives 3.

Fassbender,H.,1981,From Conventional IS- LM to Political - Economic Models,in D.A.Hibbs Jr.and H.Fassbender,eds.,Contemporary Political Economy, North-Holland.

Feldstein,M.,1982,Government Deficits and Aggregate Demand, Journal of Monetary Economics 9.

Frankel,J.A.and K.Rockett,1988,International Macroeconomic Policy Coordination When Policymakers Do not Agree on the True Model,American Economic Review 78.

Frey, B. S.and F.Schneider, 1981, Recent Research on Empirical Politicoeconomic Models,in D.A.Hibbs Jr. and H.Fassbender, eds., Contemporary Political Economy, North-Holland.

Gandenberger,O.,1986,On GovernmentBorrowing and False Political Feedback,in B.P.Herber,ed.. Public Finance and Public Debt, Wayne State University Press.

Gramlich,E.M.,1989,Budget Deficits and National Saving: Are Politicans Exogenous, Journal of Economic Perspectives 3.

Hamilton,J.D.andM.A.Flavin,1986,Onthe Limitations of Government Borrowing: A Framework for Empirical Testing, American Economic Review 76.

Haynes,S.E. and J.A.Stone,1989,An Integrated Test for Electoral Cycles in the U.S. Economy, Review of Economics and Statistics 71.

Hibbs, D.A. Jr., 1977, Political Parties and Macroeconomic Policy,American Political Science Review 71.

Hubbard,R.G.andK.L.Judd,1986,Liquidity Constraints,Fiscal Policy,and Consumption,Brookings Papers on Economic Activity.

Kormendi,R.C.,1983,Government Debt,Government Speding, and Private Sector Behavior, American Economic Review 73.

Kotlikoff,L.J.,W.SamuelsonandS.Johnson, 1988, Consumption,Computation Mistakes, and Fiscal Policy, American Economic Review 78.

Kremers, J.J.M.,1988,Long -Run Limits on the US Federal Debt, Economic Letters 28.

Laney,L.O.and T.D.Willett,1983,Presidential Politics,Budget Deficits,and Monetary Policy in the United States, Public Choice 40.

Leiderman, L. and M. I. Blejer, 1988, Modeling and Testing Ricardian Equivalence,IMF Staff Papers 35.

Mankiw, G. , 1987, The Optimal Collection of Seignorage: Theory and Evidence, Journal of Monetary Economics 20.

Mueller, D. C., 1989, Public Choice Ⅱ,Cambridge University Press.

Mutoh, T., 1985, The Equivalence of the Burden of Internal and External Public Debt, Economics Letters 17.

Niskanen, W. A., 1978, Deficits, Government Spending, and Inflation,Journal of Monetary Economics 4.

Nordhaus, W. D., 1975, The Political Business Cycle, Review of Economic Studies 42.

Persson, T. and L. E. D. Svensson, 1989, Why a Stubborn Conservative would Run a Deficit: Policy with Time-Inconsistent Preferences, Quarterly Journal of Economics 104.

Rogoff, K. and A. Sibert, 1988, Equilibrium Political Business Cycles,Review of Economic Studies 55.

Roubini, N. and J. D. Sachs, 1989, Political and Economic Determinants of Budget Deficits in the Industrial Democracies, European Economic Review 33.

Shughart, W. F. and R. D. Tollison, 1986, The Vote Motive and the Debt: A Contingent Liability Approach, in J. M. Buchanan, C. K. Rowley and R. D.Tollison,eds.,Deficits,Basil Black well.

Tinbergen, J. , 1952, On the Theory of Economic Policy,North-Holland.

Tinbergen, J., 1956, Economic Policy: Principles and Design,North -Holland.

Van Velthoven,B.,H.Verbon and F.van Winden, 1993, The Political Economiy of Government Debt: A Survey,in H.A.A.Verbon and F.A.A.M. van Winden, eds., The Political Economy of Government Debt,Elseier Science Publishers B.V.

Van Velthoven, B. C. J. and F. A. A. M. van Winden, 1990, A Behavioural Model of Government Budget Deficits,Public Finance 45.

Van Winden, F. A. A. M., 1983, On the Interaction between State and Private Sector,North-Holland.

Verbon, H. A. A., 1990, Transfers to the Old, Government Debt and Demographic Change, Journal of Population Economics.

Walters, A. A. , 1967, How to Make a Benefit of the Burden of National Debt, National Tax Journal 20.

Weil, P., 1987, Love Thy Children, Reflections on the Barro Debt Neutrality Theorem, Journal of Monetary Economics 19.

Wittman, D. , 1977, Candidates with Policy Preferences: A Dynamic Model, Journal of Economic Theory 14.

Woodford, M. , 1990, Public Debt as Private Liquidity, American Economic Review 80.

随便看

 

文网收录3541549条中英文词条,其功能与新华字典、现代汉语词典、牛津高阶英汉词典等各类中英文词典类似,基本涵盖了全部常用中英文字词句的读音、释义及用法,是语言学习和写作的有利工具。

 

Copyright © 2004-2024 Ctoth.com All Rights Reserved
京ICP备2021023879号 更新时间:2026/4/17 18:17:04