数列的表示方法
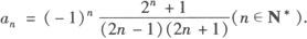
从函数的观点看,数列的表示方法有如下三种: (1)解析法:用通项公式或其他式子表示数列; (2)列表法:数列可以看作是列表法给出的函数(定义域为正自然数集,或它的有限子集{1,2…n}),自变量省略,只列出函数值; (3)图象法:数列可以用图形(一群孤立的点)来表示. 利用数列的通项an求数列的最大项或最小项, 若求最大项an,则an满足 ;若求最小项an则an满足 . 例1 根据下列数列前n项的值,写出数列的一个通项公式.  解 (1)把数列的前n项写成  由于数列的各项正、负交替出现,因此每项都有一个因子(—1)n, 又分子构成的规律可记为2n+1,分母为两个连续奇数的积, ∴通项公式为:  (2)数列9,99,999,…,前几项可以写成10—1,102—1,103—1,…, ∴通项公式为: an=10n—1(n∈N*).  ∴数列的通项公式为  例2 已知下面各数列{an}的前n项和Sn的公式,求{an}的通项公式. (1)Sn=2n2—3n; (2)Sn=3n—2. 解 (1)a1=S1=—1. 当n≥2时,an=Sn—Sn1 =(2n2—3n)—[2(n—1)2—3(n—1)] =4n—5 由于a1也适合此等式, ∴an=4n—5(n∈N*). (2)n=1时,a1=S1=1. 当n≥2时,an=Sn—Sn—1=2·3n—1. 由于a1不适合此等式,  |