网站首页  词典首页

请输入您要查询的字词:

 

字词 斑地锦
类别 中英文字词句释义及详细解析
释义 斑地锦

【概况】:

异名 血筋草(《浙江天目山药用植物志》)。

基源 为大戟科大戟属植物斑地锦的全草。

原植物 斑地锦Euphorbia supina Raf.

形态 一年生匍匐性小草本,高15~25cm,全株有白色乳汁。根纤细。

茎多分枝,枝细柔,常带紫色,被白色细柔毛。

单叶对生,排成2列,叶柄仅长1mm或近无柄;托叶线形,通常3深裂;叶片长椭圆形,长5~8mm,宽2~3mm,先端具短尖头,基部偏斜,边缘中部以上疏生细齿,上面暗绿色,中部具暗紫色斑纹,下面被白色短柔毛。杯状聚伞花序单生于枝腋和叶腋,暗红色;总苞钟状,4裂;具腺体4枚,腺体横椭圆形,并有花瓣状附属物;总苞中包含由1枚雄蕊所组成的雄花数朵,中间雌花1朵,具小苞片,花柱3,子房有柄,悬垂于总苞之外。

蒴果三棱状卵球形,径约2mm,表面被白色短柔毛,顶端残存花柱。种子卵形,具角棱,光滑。

花期5~6月。果期8~9月。(图见《中药大辞典》.下册.2283页.4732条图)

生境与分布 生于山野路边,旷地或农村家前屋后及园圃内。分布于江苏、浙江。

。【生药】:

采集 夏、秋季采收全草,除去杂质,晒干。

药材产于中国华东地区。

鉴别 全草皱缩,根细小,茎纤细,叉状分枝,绿色或带紫红色,被白色细柔毛,质脆易折断,断面中空。

叶长圆形或椭圆形,绿色或带紫红色,上面中央有长线状红紫色斑,被稀疏白色短柔毛。

小球杯状聚伞花序腋生。

蒴果三棱状球形,被稀疏白色短柔毛。无臭,味微辛、微涩。

贮藏 置通风干燥处。

。【化学】:

全草含三萜化合物:斑地锦烯酮D(Supinenolone D,Fern-8-en-3,7,11-trione),新螺斑地锦三酮(Neospirosupinatrione,7-(8→9)-Abeo-9R-D∶Cfriedo-B′∶A′-neogammaceran-3,7,8-trione)[1],17β,21β-环氧何帕-3β-醇(17β,21β-Epoxyhopan-3β-ol)[2],斑地锦烯酮A,B,C(Supinenolones A,B,C)结构分别为3β,7α-Dihydroxyfern-8-en-11-one;3β,11α-Dihydroxyfern-8-en-7-one及3β-Hydroxyfern-8-en7,11-dione[3],3β-Hydroxy-22,23,24,25,26,27-hexanordammaran-20-one[4]

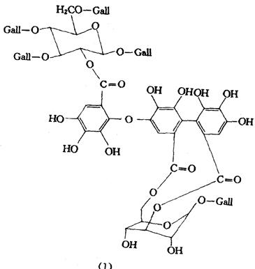
近年来从中分得水解鞣质等类化合物:鞣料云实精(Corilagin)、斑地锦素(Supinanin)、牻牛儿素(Geraniin)、1,2,3-三棓酰-β-D-葡萄糖、诃子宾(Terchebin)、玫瑰素D、E(Rugosins D、E)[5]、β-灰桤木醇(β-Alnincano1)、氧达玛烷醇(Oxidodammaranol)及植物甾醇[2]。新近分得一个二聚单宁化合物斑地锦素A(Eusupinin A)(1)[6]

另外还含莫替醇(Motiol)、异莫替醇(Isomotiol)、斑地锦烯醇酮(Supineolone)、螺旋斑地锦酮二醇(Spirosupinanonediol)、何帕醇-6(Hopenol-6)、异多花白树醇(Isomultiflorenol)、短叶苏木酚(Brevifolin)、山柰酚、槲皮素、异槲皮甙、胡萝卜甙和棕榈酸[7]等。

参考文献 [1] CA 1991;114∶139796e [2] CA 1991;114∶78584v [3] CA 1990;112∶95989j [4] Phytochemistry 1987;26(2)∶3365 [5] ChemPharm Bull 1991;39(3)∶630-8 [6] Chem Pharm Bull 1991;39(4)∶881-3 [7] 中草药 1993;24(5)∶230

。【药性】:

性味 《浙江天目山药用植物志》:“辛,平。”

功效 止血,清湿热,通乳,利小便,健胃,活血,解毒。

主治 黄疸,疳积,血痢,尿血,血崩,外伤出血,泄泻,乳汁不多,痈肿疮毒。

❶ 《上海常用中草药》:“治尿路感染,便血,子宫出血,痔疮出血,小儿疳积,跌打肿痛,女人乳汁不通,蛇咬伤,头疮,皮肤疮毒,创伤出血。”
❷ 《浙江天目山药用植物志》:“治痈肿恶疮,金刃扑损出血,血痢,崩中。”

用法用量 内服:煎汤,9~30g(大剂量60g)或和鸡肝煮服。外用:捣敷。

。【临床应用】:

方选和验方 ❶ 《浙江天目山药用植物志》:“治四肢疮肿:干斑地锦60g,红中膝12~15g,土茯苓30g。水煎,冲黄酒、红糖,早、晚饭前各服1次。”
❷ 《浙江天目山药用植物志》:“治小儿疳积:干斑地锦30g,鲤鱼献子根(华紫珠)、白马骨、紫青藤、醉鱼草根各12~15g,黑豆半生半熟10余粒。水煎,冲糖服。”

单方应用 ❶ 《浙江天目山药用植物志》:“治痢疾:干斑地锦30~60g。水煎冲糖服。”
❷ 《浙江天目山药用植物志》:“治乳汁不多:干斑地锦60g。水煎冲黄酒服。”
❸ 《浙江天目山药用植物志》:“治疣赘:鲜斑地锦,捣汁外敷。”

食疗 《浙江天目山药用植物志》:“治小儿疳积:斑地锦适量和鸡肝煮服。”

随便看

 

文网收录3541549条中英文词条,其功能与新华字典、现代汉语词典、牛津高阶英汉词典等各类中英文词典类似,基本涵盖了全部常用中英文字词句的读音、释义及用法,是语言学习和写作的有利工具。

 

Copyright © 2004-2024 Ctoth.com All Rights Reserved
京ICP备2021023879号 更新时间:2026/4/18 13:33:46