网站首页  词典首页

请输入您要查询的字词:

 

字词 新戊福林
类别 中英文字词句释义及详细解析
释义 新戊福林

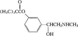
C14H21NO3=251.32

CAS-67577-23-5

(±)-间-[1-羟-2-(甲氨基)乙基]苯基新戊酸盐。

(±)-m-[1-Hydroxy-2-(methylamino)ethyl]phenyl pivalate.

2,2-二甲丙酸-3-[1-羟-2-(甲氨基)乙基]苯酯。

3-[1-Hydroxy-2-(methylamino)ethyl]phenyl 2,2-dimethylpropanoate.

散瞳药,拟交感神经药。

Pivenfrine.

INN,USAN.

随便看

 

文网收录3541549条中英文词条,其功能与新华字典、现代汉语词典、牛津高阶英汉词典等各类中英文词典类似,基本涵盖了全部常用中英文字词句的读音、释义及用法,是语言学习和写作的有利工具。

 

Copyright © 2004-2024 Ctoth.com All Rights Reserved
京ICP备2021023879号 更新时间:2026/4/18 21:06:34