方差分析法
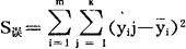
在处理试验数据时,如果需要把因素水平变动引起的数据波动同试验误差引起的数据波动加以区分,就可以采用方差分析法。 具体内容步骤如下: (1)计算误差变动平方和。由于存在试验误差,在相同条件下所测的数据是不同的。 为了从总体上估计试验误差对数据变化的影响,需要求出各次试验误差的平方和,用它来描述试验误差引起的数据波动。这个试验误差的平方和就是所谓误差变动平方和,简称误差变动,以S误表示。 计算S误的公式是:  式中,m为水平数,k为各水平的试验次数,yij为第i水平第j次测试数据, 为第i水平测试数据的平均值。 (2)计算因素变动平方和。 用各水平下数据平均值与总平均值之差的平方和,来估计因素水平变化引起的数据波动。这个平方和就是所谓的因素变动平方和,简称为因素变动,以S因表示。 S因的计算公式是:  (3)计算总的变动平方和。试验数据总的波动用全部数据yij与总平均值 之差的平方和来描述,这个平方和叫总的变动平方和,用S总表示,其计算公式为  一般情况下,S总=S误+S因 (4)计算平均变动平方和。为了分析因素水平变化对指标影响是否显著,需要把因素变动同误差变动进行比较。但是不能直接比较,因为S因和S误的大小均与试验数据的个数多少有关。 必须以S因和S误分别除以各自的自由度(所谓自由度就是独立的数据个数)去消除数据个数多少的影响,然后才能进行比较。S因、S误、S总的自由度分别以f因、f误、f总表示,其计算公式为: f因=水平数-1 f总=数据的总个数-1 f误=f总-f因 有了自由度,就可以找出平均变动平方和(简称平均变动)。因素的平均变动为S因/f因,误差的平均变动为S误/f误。 (5)进行因素显著性检验。 其步骤: ❶ 计算S因/f因与S误/f误的比值 。 ❷ 查F分布表。 F分布表列出了各种自由度下F的临界值Fa。Fa的下标a叫做信度,表示判断错误的概率。一般认为,若F因>F0.05,则认为因素的影响是显著;若F因>F0.01,则认为因素的影响是高度显著的。 |