网站首页  词典首页

请输入您要查询的字词:

 

字词 旋转的特征
类别 中英文字词句释义及详细解析
释义 旋转的特征

经过旋转,图形上的每一个点都绕旋转中心沿相同方向转动了相同的角度,任意一对对应点与旋转中心的连线所成的角都是旋转角,对应点到旋转中心的距离相等.

注意 1.旋转后的图形与原来图形完全重合,是全等形.

2.旋转中心在对应点连线的中垂线上.

例1 将下图中的甲图案变成乙图案,可以通过( )得到.

A.平移 B.旋转、平移

C.旋转 D.轴对称

答 B.

例2 如图所示,△ABO绕点O经过旋转得到△DEO,下列各角相等的是( ).

A.∠BOA与∠EOA

B.∠AOD与∠BOE

C.∠BOA与∠AOD

D.∠OED与∠A

答 B.

[解析] 旋转角相等.

例3 如图,把菱形ABOC绕点O顺时针旋转得到菱形DFOE,则下列角中,不是旋转角的是( ).

A.∠BOF B.∠AOD

C.∠COE D.∠AOF

答 D.

[解析] 对应点与旋转中心连线所成的角是旋转角.

例4 同学们曾玩过万花筒,右图是万花筒中的一个图案,图中的所有小三角形都是大小相同的等边三角形,其中的菱形AEFG可以看成是把菱形ABCD以A为旋转中心( ).

A.顺时针旋转60°得到的

B.顺时针旋转120°得到的

C.逆时针旋转60°得到的

D.逆时针旋转120°得到的

答 D.

例5 如图所示,将左边的“心形”绕点O顺时针旋转95°得到右边的“心形”,如果∠BOC=75°,BO=2.8cm,则∠DOF=__;∠COD=__; DO=__cm.

答 75°,20°,2.8.

[解析] ∠BOC=∠DOF(对应角相等),

∵∠COF=95°(旋转角).∴∠COD=20°.

DO=BO(对应线段相等).

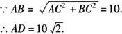
例6 直角三角形ABC中,∠C=90°,AC=6,BC=8,现将△ABC绕点B旋转90°,点A旋转到点D,则AD的长为( ).

A.20 B.10

C.20 D.10

答 B.

[解析] 如图所示,△DBE是△ABC绕B点旋转90°得到的三角形.

则△ABD为等腰直角三角形.(旋转角∠ABD=90°,对应线段相等AB=DB)

例7 如图,在等腰直角三角形ABC中,∠CAB=90°,P是△ABC内一点,且PA=1,PB=3.,求∠APC的度数.

解 将△BAP绕点A逆时针旋转90°,使AB与AC重合,得到△CAQ,所以△CAQ≌△BAP,

∴AQ=AP=1,CQ=BP=3,∠CAQ=∠PAB.

∴∠PAQ=∠PAC+∠CAQ=∠PAC+∠PAB=90°:

在Rt△AQP中,PQ2=AQ2+AP2=1+1=2.

,∴∠APQ=45°.

在△CPQ中,,CQ=3,,∴CQ2=CP2+PQ2

∴△CPQ是直角三角形,∠CPQ=90°.

∴∠APC=∠CPQ+∠APQ=90°+45°=135°.

例8 如图,正方形ABCD的边长为1,AB、AD上各有一点P、Q,如果△APQ的周长为2,求∠PCQ的度数.

解 将△DCQ绕点C逆时针旋转90°到△BCE,

则∠QCE=90°,CQ=CE,DQ=BE.

设AP=x,AQ=y,

则PB=1-x,QD=1-y=BE.

PE=PB+BE=1-x+1-y

=2-(x+y)=2-(AP+AQ)=PQ.

(△APQ周长为2)

∴△PCQ≌△PCE(SSS),

∴∠PCQ=∠PCE=1/2∠QCE=45°.

随便看

 

文网收录3541549条中英文词条,其功能与新华字典、现代汉语词典、牛津高阶英汉词典等各类中英文词典类似,基本涵盖了全部常用中英文字词句的读音、释义及用法,是语言学习和写作的有利工具。

 

Copyright © 2004-2024 Ctoth.com All Rights Reserved
京ICP备2021023879号 更新时间:2026/4/18 12:16:41