网站首页  词典首页

请输入您要查询的字词:

 

字词 无偏估计量
类别 中英文字词句释义及详细解析
释义 无偏估计量

指用样本指标(如、S2等)去估计相应的总体指标(如μ、σ2等)时,如果将作为总体参数m的估计值的样本指标记作,要求满足E,满足这个条件的样本指标即称为总体参数θ的无偏估计量。

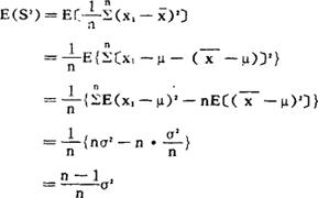
由于

可见,样本平均值是总体平均值的无偏估计量。由于

可见,只有

才是总体方差的无偏估计量。当n很大时,渐进于1,故S2是渐进的无偏估计量。

随便看

 

文网收录3541549条中英文词条,其功能与新华字典、现代汉语词典、牛津高阶英汉词典等各类中英文词典类似,基本涵盖了全部常用中英文字词句的读音、释义及用法,是语言学习和写作的有利工具。

 

Copyright © 2004-2024 Ctoth.com All Rights Reserved
京ICP备2021023879号 更新时间:2025/10/18 21:22:20