网站首页  词典首页

请输入您要查询的字词:

 

字词 春福寿草
类别 中英文字词句释义及详细解析
释义 春福寿草

【概况】:

基源 为毛茛科侧金盏花属植物春福寿草的干燥全草。

原植物 春福寿草Adonis vernalis L.

形态 多年生草本,高10~20cm。茎细弱,单一或基部稍有分枝,下部具鞘状鳞片4~8片,膜质;叶二回羽状复叶,小羽片深裂或全裂,最终裂片为卵状披针形。花单生,萼片和花瓣分化不明显;花萼5~8片,长约1.5cm,宽约4~7mm,先端常带缺刻;花瓣12~21枚,椭圆状倒卵形,长约1.3cm,宽4~7mm,先端钝,微有波状齿,黄色;雄蕊多数,花药黄色;雌蕊多数,离生,聚成球状,子房为扁球状倒卵形,花柱向外弯曲,均被短毛。

花期4月。

生境与分布 生于富有腐殖土的阴湿山坡和灌木丛中及林缘地带。广布于原苏联。

。【化学】:

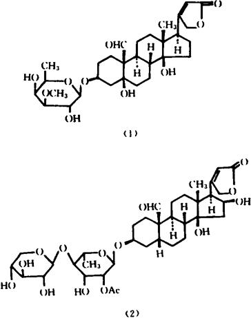
全草含多种强心甙,如加拿大麻甙(Cymarin)、福寿草毒甙(Adonitoxin)、K-毒毛旋花子次甙-β(K-Strophanthin-β)[1]、毒毛旋花子甙元夫糖甙(Strophanthidin fucoside)[2]、毒毛旋花子甙元毛地黄糖甙(Strophanthidin digitaloside)(1)、毒毛旋花子甙元6-去氧葡萄糖甙(Strophanthidin 6-deoxyglucoside,Deglucocheirotoxin)[3]、福寿草甙元-3-O-α-L-鼠李糖-β-D-木糖甙(Adonitoxigenin-3-O-α-L-rhamnoside-β-D-xyloside)、福寿草甙元-3-[O-α-L-(2′-O-乙酰)鼠李糖]-β-D-木糖甙(Adonitoxigenin-3-[O-α-L-(2′-O-acetyl)rhamnoside]-β-D-xyloside(2)、福寿草甙元-3-[O-α-L(3′-O-乙酰)鼠李糖]-β-D-木糖甙(Adonitoxigenin-3-[O-α-L-(3′-O-acetyl)rhamnoside]-β-D-xyloside)[4]

高压液相分析全草,含福寿草毒甙、K-毒毛旋花子甙(K-Strophantoside)、K-毒毛旋花子甙元(K-Strophanthidin)、黄白糖芥甙(Helveticoside)和加拿大麻甙[5]。此外尚含福寿草甙(Adoniside)[6]和福寿草维甙(Adonivernith,东北蓼素-2″-O-β-D-吡喃木糖甙)(3)[7]。叶含抗坏血酸(Ascorbic acid)[8]等。花含牡荆素(Vitexin)[9]等。

参考文献 [1] CA 1972;76∶70112f [2] CA 1972;77∶85532n [3] CA 1978;88∶101547f [4] CA 1986;104∶31720e [5] Planta Med 1982;45(4)∶207 [6] CA 1982;97∶203217b [7] CA 1975;83∶55706d [8] CA 1976;84∶56532b [9] CA 1972;76∶11976t。【药性】:

性味 《中药志》:“苦,平。有毒。”

功效 强心,利尿,镇静。

主治 心悸,心功能不全,水肿,癫痫。

❶ 《中药志》:“强心,利尿,镇静,减慢心率。治急、慢性心功能不全。”
❷ 《新华本草纲要》:“治心悸,水肿,癫痫。”
❸ 《中国药用植物图鉴》:“强心剂。功效同福寿草。


❹ 《植物药有效成分手册》:“强心作用,抗肿瘤作用。”

用法用量 内服:酒浸或水浸汁,1.5~3g。

使用注意 本品有毒,内服慎用。

随便看

 

文网收录3541549条中英文词条,其功能与新华字典、现代汉语词典、牛津高阶英汉词典等各类中英文词典类似,基本涵盖了全部常用中英文字词句的读音、释义及用法,是语言学习和写作的有利工具。

 

Copyright © 2004-2024 Ctoth.com All Rights Reserved
京ICP备2021023879号 更新时间:2025/10/18 16:10:30