网站首页  词典首页

请输入您要查询的字词:

 

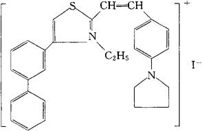
字词 普他碘铵
类别 中英文字词句释义及详细解析
释义 普他碘铵

C29H29IN2S=564.53

CAS-24840-59-3

4-(4-联苯基)-3-乙基-2-(对-1-吡咯烷基苯乙烯基)噻唑鎓碘化物。

4-(4-Biphenylyl)-3-ethyl-2-(p-1-pyrrolidinylstyryl)thiazolium iodide.

用于治疗蛲虫病。

Pretamazium Iodide,66-269.

INN,BAN,USAN.

随便看

 

文网收录3541549条中英文词条,其功能与新华字典、现代汉语词典、牛津高阶英汉词典等各类中英文词典类似,基本涵盖了全部常用中英文字词句的读音、释义及用法,是语言学习和写作的有利工具。

 

Copyright © 2004-2024 Ctoth.com All Rights Reserved
京ICP备2021023879号 更新时间:2025/11/30 15:29:33