普匹卡星
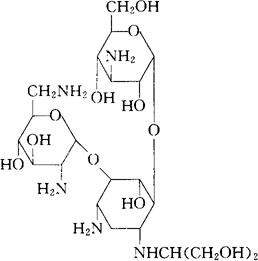
C21H43N5O12=557.60 CAS-66887-96-5 O-3-氨基-3-去氧-α-D-吡喃葡糖基(1→6)-O-[2,6-二氨基2,6-二去氧-α-D-吡喃葡糖基(1→4)]-2-去氧-N1[2-羟-1-(羟甲基)乙基]-D-链霉胺。 O-3-Amino-3-deoxy-α-D-glucopyranosyl(1→6)-O[2,6-diamino-2,6-dideoxy-α-D-glucopyranosyl(1→4)]-2-deoxy-N1-[2-hydroxy-1-(hydroxymethyl)ethyl]-D-streptamine. O-3-氨基-3-去氧-α-D-吡喃葡糖基(1→4)-O-[2,6-二氨基-2,6-二去氧-α-D-吡喃葡糖基(1→6)]-2-去氧-N3[2-羟-2-(羟甲基)乙基]-L-链霉胺。 O-3-Amino-3-deoxy-α-D-glucopylransyl(1→4)-O[2,6-diamino-2,6-dideoxy-α-D-glucopyranosyl(1→6)]-2-deoxy-N3-[2-hydroxy-2-(hydroxymethyl)ethyl]-L-streptamine. N′-(1,3-二羟-2-丙基)-卡那霉素C。 N′-(1,3-Dihydroxy-2-propyl)kanamycin C. 抗生素类药。 扑罗卡星。 Propikacin,UK-31,214. INN,USAN.  |