普通伏辊
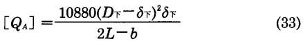
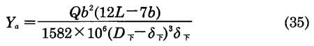
1.普通下伏辊承受的实际总载荷Q  Z的求法同式(2)、式(3)。 2.按辊筒强度验算下伏辊能承受的许用总载荷[QA]  推导式(33)时假设下伏辊的筒体材料为铸造锡青铜。 3.按辊筒刚度验算下伏辊能承受的许用总载荷[QB]  推导式(34)采用的[ξ]为1/15000。普通下伏辊的常用ξ值为1/14000至1/15000。 4.按轴颈应力验算下伏辊能承受的许用总载荷[QC] 应用式(28)可求得下伏辊的[QC]。在求出的诸[Q]值中,应选择最小者与实际总载荷Q相比,应大于或等于Q才安全。 5.求下伏辊工作部分的实际最大挠度Ya  |