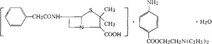
普鲁卡因青霉素G[典]
C13H20N2O2·C16H18N2O4S·H2O=588.71 CAS-6130-64-9 (2S,5R,6R)3,3-二甲基-7-氧代-6-(2-苯乙酰胺基)-4-噻-1-氮杂双环[3.2.0]庚烷与-2-羧酸与-2-(二乙氨基)乙基-对-氨基苯甲酸[1∶1]化合物-水化合物。 (2S,5R,6R)-3,3-Dimethyl-7-oxo-6-(2-phenylacetamido)-4-thia-1-azabicyclo[3.2.0]heptane-2-carboxylic acid compound with 2-(diethylamino)ethyl p-aminobenzoate(1∶1)monohydrate. 抗生素类药。作用比青霉素稍弱,但维持时间较长。 用于青霉素敏感菌感染。 普鲁卡因青霉素G,普青,苄基青霉素普鲁卡因。 Procaine Benzylpenicillin,Penicillin G Procaine,Procaine Penicillin G,Duracillin,Crysticllin,Procaine Penieillin. 注射用普鲁卡因青霉素,注射用普鲁卡因青霉素G,油制普鲁卡因青霉素G注射液。 BP,DCIT,DCF,GDP,JP,NP,NFN,PH,USP,MI. 
|