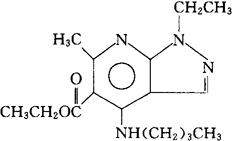
曲卡唑酯
C16H24N4O2=304.39 CAS-41094-88-6 4-(丁氨基)-1-乙基-6-甲基-1H-吡唑并[3,4-b]吡啶-5-羧酸乙酯。 4-(Butylamino)-1-ethyl-6-methyl-1H-pyrazolo[3,4-b]pyridine-5-carboxylic acid,ethyl ester. 4-(丁氨基)-1-乙基-6-甲基-1H-吡唑并[3,4-b]-吡啶-5-羧酸乙酯。 Ethyl 4-(butylamino)-1-ethyl-6-methyl-1H-pyrazolo[3,4-b]-pyridine-5-carboxylate. 安定药,抗抑郁药。 Tracazolate,ICI 136,753. INN,BAN,USAN.  |