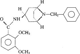
曲帕必利
C23H28N2O3=380.49 CAS-76352-13-1 N-(8-苄基-1αH,5αH-去甲莨菪烷-3β-基)-邻-藜芦酰胺。 N-(8-Benzyl-1αH,5αH-nortropan-3β-yl)-o-veratramide. 2,3-二甲氧-N-[8-(苯基甲基)-8-氮杂双环[3.2.1]辛-3-基]苯甲酰胺。 2,3-Dimethoxy-N-[8-(phenylmethyl)-8-azabicyclo[3.2.1]oct-3-yl]benzamide. 抗精神病药,安定药。 Tropaprid,MD 790501. INN,USAN.  |