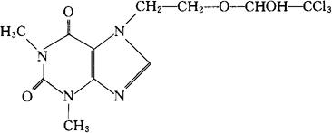
曲洛茶碱
C11H13Cl3N4O4=371.61 CAS-17243-70-8 3,7-二氢-1,3-二甲基-7,2-(2,2,2-三氯-1-羟基乙氧)-乙基-1H-嘌呤-2,6-二酮。 3,7-Dihydro-1,3-dimethyl-7,2-(2,2,2-trichloro-1-hydroxyethoxy)ethyl-1H-purine-2,6-dione. 7-[2-(2,2,2-三氯-1-羟基乙氧)乙基]茶碱。 7-[2-(2,2,2-Trichloro-1-hydroxyethoxy)ethyl]theophylline. 平喘药。 Triclofylline. INN,DCF,USAN.  |