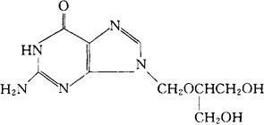
更昔洛韦
C9H13N5O4=255.23 CAS-82410-32-0 2-氨基-1,9-二氢-9-[[2-羟-1-(羟甲基)乙氧]甲基]-6H-嘌呤-6-酮。 2-Amino-1,9-dihydro-9-[[2-hydroxy-1-(hydroxymethyl)ethoxy]methyl]-6H-purin-6-one. 9-[[2-羟基-1-(羟甲基)乙氧]甲基]鸟嘌呤。 9-[[2-Hydroxy-1-(hydroxymethyl)ethoxy]methyl]guanine. 抗病毒药。 Ganciclovir,BW 759U,RS-21592. INN,BAN,USAN.  |