替代曲线
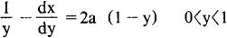
亦称更新替代分析曲线。 主要应用于研究替代问题的。如对于企业的经营决策者,一个很重要的问题是,必须明了一种新技术、新产品替代老技术、老产品时,替代的临界点如何预测,选择什么时机替代效果最佳,以及选用何种替代方法最好。 替代曲线就是从经济角度,对这些问题进行预测的。 替代曲线也是一条S曲线。应用比较广泛的替代曲线的数学模型,是费歇(Fisher)和布赖(Pry)在1971年提出的。这一模型主要是从市场或应用的角度,来预测替代速率,通过利用新老技术替代开始以后的起始速率来预测替代的全过程。这里有两个假设:(1)如果一项新技术已开始替代某种老技术,并且已替代了百分之几,且证明经济上是合理的,则替代过程将进行列底;(2)替代速度正比于被替代技术的尚未替代部分。 根据上述假设,其数学模型为:  解微分方程得:  式中:y为旧技术被替代的百分比,因变量a为每年替代的百分数的一半,即替代开始以后的替代起始速率;tn为当y=50%时的时间,即替代开始到旧技术被替代了50%的时间;t为时间参数,自变量。 除此模型外,还有其它形式的替代模型,如:  式中:y为旧技术被替代的百分数,因变量;Y为y最大能达到的值,即y的极限值;t为时间参数,自变量;C1,C2为常数。 使使用替代曲线法进行替代预测时,需注意符合前面提出的两个作定,同时也应注意替代过程的实际情况,对模型进行必要的修正后再进行预测,一般能够取得较好效果。 |