网站首页  词典首页

请输入您要查询的字词:

 

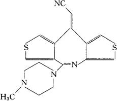
字词 替尼拉平
类别 中英文字词句释义及详细解析
释义 替尼拉平

C17H16N4S2=340.46

CAS-82650-83-7

(E)-5-(4-甲基-1-哌嗪基)-9H-二噻嗯并[3,4-b:3′,4′-e]-氮杂9,a-乙腈。

(E)-5-(4-Methyl-l-piperazinyl)-9H-dithieno[3,4-b∶3′,4′-e]-azepine-△9,α-acetonitrile.

抗精神病药。

特尼那品。

Tenilapine.

INN,USAN.

随便看

 

文网收录3541549条中英文词条,其功能与新华字典、现代汉语词典、牛津高阶英汉词典等各类中英文词典类似,基本涵盖了全部常用中英文字词句的读音、释义及用法,是语言学习和写作的有利工具。

 

Copyright © 2004-2024 Ctoth.com All Rights Reserved
京ICP备2021023879号 更新时间:2026/1/16 14:40:22