网站首页  词典首页

请输入您要查询的字词:

 

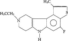
字词 替氟卡宾
类别 中英文字词句释义及详细解析
释义 替氟卡宾

C16H17FN2S=288.38

CAS-89875-86-5

9-乙基-4-氟-7,8,9,10-四氢-1-甲基-6H-吡啶并[4,3-b]噻吩并[3,2-e]-吲哚。

9-Ethyl-4-fluoro-7,8,9,10-tetrahydro-1-methyl6H-pyrido[4,3-b]thieno[3,2-e]-indole.

抗抑郁药。

Tiflucarbine.

INN,USAN.

随便看

 

文网收录3541549条中英文词条,其功能与新华字典、现代汉语词典、牛津高阶英汉词典等各类中英文词典类似,基本涵盖了全部常用中英文字词句的读音、释义及用法,是语言学习和写作的有利工具。

 

Copyright © 2004-2024 Ctoth.com All Rights Reserved
京ICP备2021023879号 更新时间:2025/10/18 10:04:03