网站首页  词典首页

请输入您要查询的字词:

 

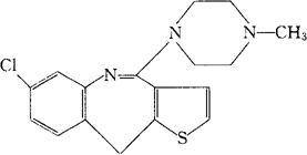
字词 替氯西平
类别 中英文字词句释义及详细解析
释义 替氯西平

C17H18ClN3S=331.86

CAS-42239-60-1

7-氯-4-(4-甲基1-哌嗪基)-10H-噻吩并[3,2-c][1]苯并氮杂

7-Chloro-4-(4-methyl-1-piperazinyl)-10H-thieno[3,2-c][1]benzazepine.

抗精神失常药,镇静药。

Tilozepine.

INN,USAN.

随便看

 

文网收录3541549条中英文词条,其功能与新华字典、现代汉语词典、牛津高阶英汉词典等各类中英文词典类似,基本涵盖了全部常用中英文字词句的读音、释义及用法,是语言学习和写作的有利工具。

 

Copyright © 2004-2024 Ctoth.com All Rights Reserved
京ICP备2021023879号 更新时间:2026/5/31 11:02:57