网站首页  词典首页

请输入您要查询的字词:

 

字词 最低年产量的分析计算
类别 中英文字词句释义及详细解析
释义 最低年产量的分析计算

式中 xn——最低年产量(t)

y——月平均利润(元)

K——年生产月数

其它同上

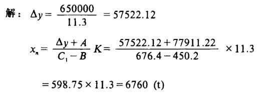
[例3]计算在上述销售价格下,年利65万元,年生产11.3月,试确定最低年产量。

随便看

 

文网收录3541549条中英文词条,其功能与新华字典、现代汉语词典、牛津高阶英汉词典等各类中英文词典类似,基本涵盖了全部常用中英文字词句的读音、释义及用法,是语言学习和写作的有利工具。

 

Copyright © 2004-2024 Ctoth.com All Rights Reserved
京ICP备2021023879号 更新时间:2026/1/18 22:53:08