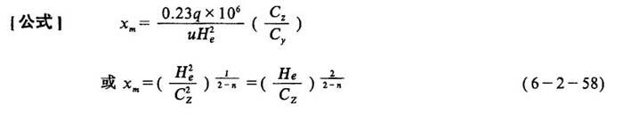
最大浓度产生点的计算
 式中 C(x.y.z)——在点(x.y.z.)处的污染物浓度(g/m3) Q——污染物排放量(g/s) U——平均风速(m/s) x——在下风向上离开污染源的距离(m) CyCz——水平和垂直方向上的扩散系数 y——在与风向垂直的水平方向上离开污染源的距离(m) Z——离开地面的垂直距离(m) n——与大气稳定性有关的参数,0~1 He——污染源距离地面的高度(m),通常采用烟囱在地面上的有效高度 Cm——最大浓度(ppm) q——大气温度为15℃时的污染物排放量(m3/s) xm——出现最大浓度的点的位置(m) |