网站首页  词典首页

请输入您要查询的字词:

 

字词 最小二乘法
类别 中英文字词句释义及详细解析
释义 最小二乘法

也称“最小平方法”。

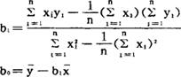
统计中常用的参数估计法中的一种。确定空间平面上n个有线性关系趋势的点(x1,y2)、(x2,y2)、……、(xn,yn),求一估计直线使其估计值与实际观测值之差的平方和为最小的方法。此直线的形式若为,间的距离(与y轴平行)之平方和各点与为最小。

平方运算又称二乘运算,故有最小二乘法的名称。欲δ最小,必须

由此即解得

此种确定直线的方法可推广到多个自变量等情形。最小二乘法在经济管理、工程技术和科学研究的数据处理中,也得到广泛的应用。

随便看

 

文网收录3541549条中英文词条,其功能与新华字典、现代汉语词典、牛津高阶英汉词典等各类中英文词典类似,基本涵盖了全部常用中英文字词句的读音、释义及用法,是语言学习和写作的有利工具。

 

Copyright © 2004-2024 Ctoth.com All Rights Reserved
京ICP备2021023879号 更新时间:2026/4/18 11:02:21